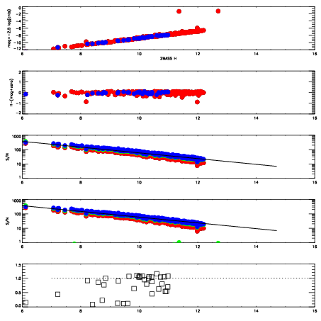
Frame | Nreads | Zeropoints | Mag plots
| Spatial mag deviation
| Spatial sky 16325A emission deviations (filled: sky, open: star)
| Spatial sky continuum emission
| Spatial sky telluric CO2 absorption deviations (filled: H < 10)
|
6650092
| 47
| | Red | Green | Blue
| z | | 18.73
| znorm | | 14.55
| sky | 14.3 | 14.0 | 14.0
| S/N | 12.4 | 20.2 | 21.4
| S/N(c) | 19.0 | 23.9 | 28.4
| SN(E/C) | 0.90
|
|
|
|
|
|
|
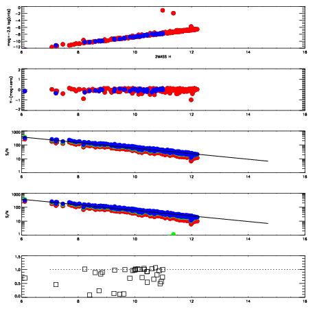
6650093
| 47
| | Red | Green | Blue
| z | | 18.80
| znorm | | 14.62
| sky | 14.4 | 14.2 | 14.2
| S/N | 13.3 | 20.6 | 22.0
| S/N(c) | 19.8 | 25.0 | 29.8
| SN(E/C) | 0.88
|
|
|
|
|
|
|
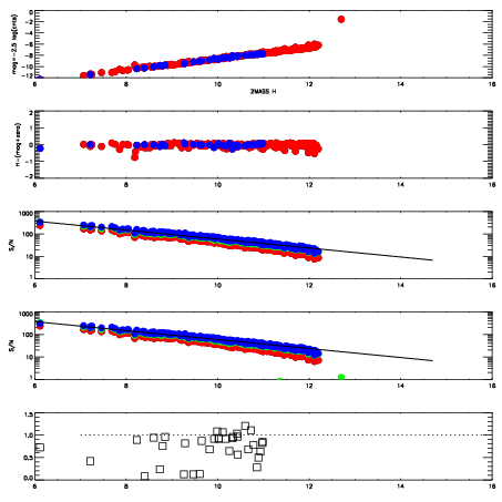
6650094
| 47
| | Red | Green | Blue
| z | | 18.84
| znorm | | 14.66
| sky | 14.4 | 14.2 | 14.2
| S/N | 13.4 | 21.2 | 22.6
| S/N(c) | 20.4 | 25.8 | 30.5
| SN(E/C) | 0.89
|
|
|
|
|
|
|
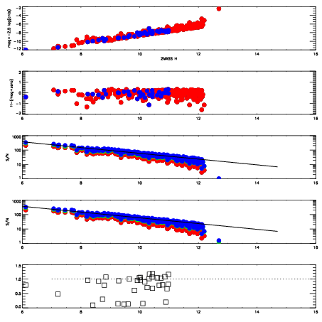
6650095
| 47
| | Red | Green | Blue
| z | | 18.82
| znorm | | 14.64
| sky | 14.6 | 14.2 | 14.2
| S/N | 12.9 | 20.9 | 22.1
| S/N(c) | 20.2 | 25.8 | 30.3
| SN(E/C) | 0.87
|
|
|
|
|
|
|
6650096
| 47
| | Red | Green | Blue
| z | | 18.61
| znorm | | 14.43
| sky | 14.4 | 14.3 | 14.4
| S/N | 11.0 | 18.3 | 19.9
| S/N(c) | 17.8 | 23.1 | 27.3
| SN(E/C) | 0.83
|
|
|
|
|
|
|
6650097
| 47
| | Red | Green | Blue
| z | | 18.76
| znorm | | 14.58
| sky | 14.8 | 14.5 | 14.3
| S/N | 12.4 | 20.2 | 21.6
| S/N(c) | 19.8 | 25.3 | 29.7
| SN(E/C) | 0.87
|
|
|
|
|
|
|
6650098
| 47
| | Red | Green | Blue
| z | | 18.64
| znorm | | 14.46
| sky | 14.6 | 14.5 | 14.4
| S/N | 11.5 | 18.2 | 19.7
| S/N(c) | 18.2 | 23.5 | 27.8
| SN(E/C) | 0.82
|
|
|
|
|
|
|
6650099
| 47
| | Red | Green | Blue
| z | | 18.52
| znorm | | 14.34
| sky | 14.7 | 14.4 | 14.4
| S/N | 10.4 | 17.1 | 18.7
| S/N(c) | 16.7 | 22.1 | 26.1
| SN(E/C) | 0.92
|
|
|
|
|
|
|
6650100
| 47
| | Red | Green | Blue
| z | | 18.58
| znorm | | 14.40
| sky | 14.8 | 14.5 | 14.4
| S/N | 10.5 | 17.5 | 18.8
| S/N(c) | 17.1 | 22.2 | 26.8
| SN(E/C) | 0.83
|
|
|
|
|
|
|
6650101
| 47
| | Red | Green | Blue
| z | | 18.63
| znorm | | 14.45
| sky | 14.6 | 14.4 | 14.4
| S/N | 10.2 | 17.6 | 18.7
| S/N(c) | 17.2 | 22.3 | 26.9
| SN(E/C) | 0.90
|
|
|
|
|
|
|
6650102
| 47
| | Red | Green | Blue
| z | | 18.44
| znorm | | 14.26
| sky | 14.6 | 14.4 | 14.4
| S/N | 8.7 | 15.6 | 16.6
| S/N(c) | 15.3 | 20.5 | 24.6
| SN(E/C) | 0.91
|
|
|
|
|
|
|
6650103
| 47
| | Red | Green | Blue
| z | | 18.49
| znorm | | 14.31
| sky | 14.8 | 14.4 | 14.3
| S/N | 9.3 | 15.3 | 17.2
| S/N(c) | 15.4 | 20.8 | 24.9
| SN(E/C) | 0.90
|
|
|
|
|
|
|