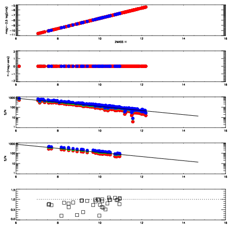
Left plots: red are targets, blue are telluric. Observed mags are calculated from median value of green chip. Zeropoint gives overall throughput: bigger number is more throughput.
First spatial plots: circles are objects, squares are tellurics, crosses are sky fibers. Colors give deviation of observed mag from expected 2MASS mag using the median zeropoint; red is brighter
Second spatial plots: circles are sky fibers. Colors give sky line brightness relative to plate median sky line brightness
FrameNreadsZeropointsMag plots Spatial mag deviation Spatial sky 16325A emission deviations (filled: sky, open: star) Spatial sky continuum emission Spatial sky telluric CO2 absorption deviations (filled: H < 10)
0 0
RedGreenBlue
z17.64
znorm Inf
sky -NaN -Inf -NaN
S/N 26.8 46.6 49.7
S/N(c) 0.0 0.0 0.0
SN(E/C) 0.84

IPAIRNAMESHIFTNEWSHIFTS/N NAMESHIFTNEWSHIFTS/N
0 03180038 0.499522 0.00000 19.0446 03180040 0.000976493 0.498545 19.0008
1 03180037 0.493790 0.00573200 19.0243 03180036 0.00000 0.499522 18.9834
2 03180042 0.498170 0.00135201 19.0022 03180039 0.00106480 0.498457 18.9689
3 03180041 0.496414 0.00310799 18.9522 03180043 0.00244050 0.497081 18.9213