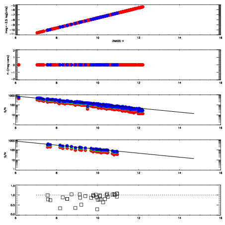
Left plots: red are targets, blue are telluric. Observed mags are calculated from median value of green chip. Zeropoint gives overall throughput: bigger number is more throughput.
First spatial plots: circles are objects, squares are tellurics, crosses are sky fibers. Colors give deviation of observed mag from expected 2MASS mag using the median zeropoint; red is brighter
Second spatial plots: circles are sky fibers. Colors give sky line brightness relative to plate median sky line brightness
FrameNreadsZeropointsMag plots Spatial mag deviation Spatial sky 16325A emission deviations (filled: sky, open: star) Spatial sky continuum emission Spatial sky telluric CO2 absorption deviations (filled: H < 10)
0 0
RedGreenBlue
z17.64
znorm Inf
sky -Inf -NaN -NaN
S/N 18.9 33.5 34.7
S/N(c) 0.0 0.0 0.0
SN(E/C) 0.91

IPAIRNAMESHIFTNEWSHIFTS/N NAMESHIFTNEWSHIFTS/N
0 03770030 0.508993 0.00000 17.3766 03770029 0.00235084 0.506642 17.6967
1 03770026 0.504810 0.00418305 19.0066 03770032 0.00282212 0.506171 18.8216
2 03770027 0.507000 0.00199300 18.5895 03770025 0.00000 0.508993 18.7448
3 03770031 0.508966 2.70009e-05 18.1280 03770028 0.00259626 0.506397 18.0554