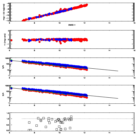
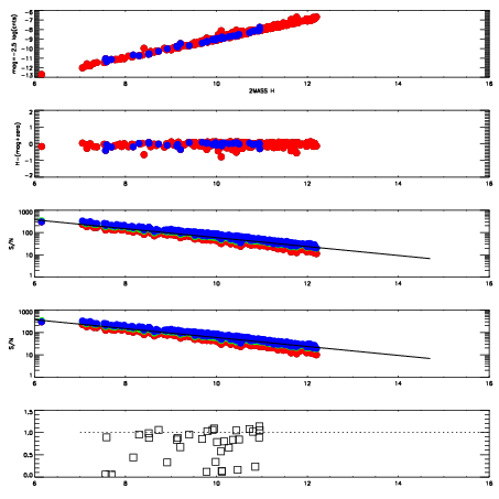
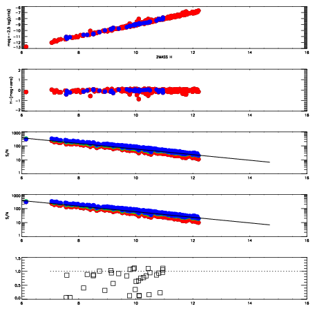
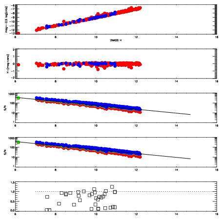
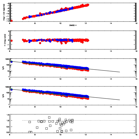
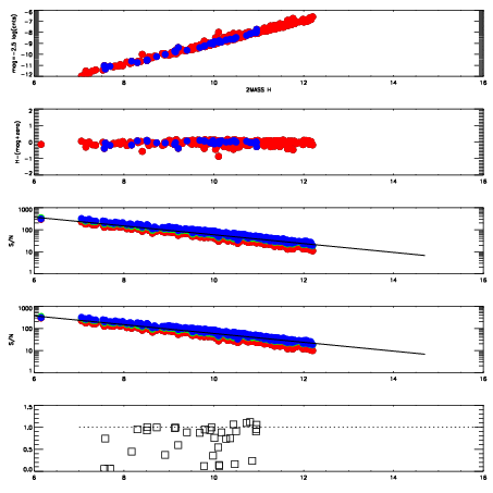
Frame | Nreads | Zeropoints | Mag plots
| Spatial mag deviation
| Spatial sky 16325A emission deviations (filled: sky, open: star)
| Spatial sky continuum emission
| Spatial sky telluric CO2 absorption deviations (filled: H < 10)
|
3980045
| 47
| | Red | Green | Blue
| z | | 18.97
| znorm | | 14.79
| sky | 14.4 | 14.0 | 14.1
| S/N | 15.5 | 24.2 | 24.2
| S/N(c) | 19.1 | 25.6 | 11.3
| SN(E/C) | 0.88
|
|
|
|
|
|
|
3980046
| 47
| | Red | Green | Blue
| z | | 19.02
| znorm | | 14.84
| sky | 14.4 | 14.2 | 14.3
| S/N | 15.7 | 25.2 | 25.5
| S/N(c) | 19.4 | 26.0 | 11.5
| SN(E/C) | 0.84
|
|
|
|
|
|
|
3980047
| 47
| | Red | Green | Blue
| z | | 19.07
| znorm | | 14.89
| sky | 14.5 | 14.2 | 14.3
| S/N | 16.3 | 26.0 | 26.4
| S/N(c) | 20.0 | 26.8 | 11.8
| SN(E/C) | 0.73
|
|
|
|
|
|
|
3980048
| 47
| | Red | Green | Blue
| z | | 19.01
| znorm | | 14.83
| sky | 14.6 | 14.3 | 14.3
| S/N | 15.8 | 25.4 | 25.8
| S/N(c) | 19.4 | 26.1 | 11.6
| SN(E/C) | 0.87
|
|
|
|
|
|
|
3980049
| 47
| | Red | Green | Blue
| z | | 19.03
| znorm | | 14.85
| sky | 14.6 | 14.4 | 14.3
| S/N | 15.9 | 25.6 | 26.2
| S/N(c) | 19.4 | 26.3 | 11.7
| SN(E/C) | 0.84
|
|
|
|
|
|
|
3980050
| 47
| | Red | Green | Blue
| z | | 19.03
| znorm | | 14.85
| sky | 14.5 | 14.3 | 14.4
| S/N | 15.8 | 25.9 | 26.6
| S/N(c) | 19.5 | 26.4 | 11.7
| SN(E/C) | 0.84
|
|
|
|
|
|
|
3980051
| 47
| | Red | Green | Blue
| z | | 18.79
| znorm | | 14.61
| sky | 14.4 | 14.4 | 14.4
| S/N | 13.5 | 22.6 | 23.4
| S/N(c) | 17.0 | 23.5 | 10.5
| SN(E/C) | 0.89
|
|
|
|
|
|
|
3980052
| 47
| | Red | Green | Blue
| z | | 18.96
| znorm | | 14.78
| sky | 14.6 | 14.4 | 14.5
| S/N | 15.3 | 25.0 | 25.6
| S/N(c) | 18.7 | 25.4 | 11.3
| SN(E/C) | 0.84
|
|
|
|
|
|
|