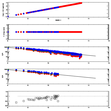
Left plots: red are targets, blue are telluric. Observed mags are calculated from median value of green chip. Zeropoint gives overall throughput: bigger number is more throughput.
First spatial plots: circles are objects, squares are tellurics, crosses are sky fibers. Colors give deviation of observed mag from expected 2MASS mag using the median zeropoint; red is brighter
Second spatial plots: circles are sky fibers. Colors give sky line brightness relative to plate median sky line brightness
FrameNreadsZeropointsMag plots Spatial mag deviation Spatial sky 16325A emission deviations (filled: sky, open: star) Spatial sky continuum emission Spatial sky telluric CO2 absorption deviations (filled: H < 10)
0 0
RedGreenBlue
z17.64
znorm Inf
sky -NaN -Inf -Inf
S/N 33.2 55.8 61.6
S/N(c) 0.0 0.0 0.0
SN(E/C) 0.81

IPAIRNAMESHIFTNEWSHIFTS/N NAMESHIFTNEWSHIFTS/N
0 04040042 0.496034 0.00000 19.1806 04040040 0.000333616 0.495700 19.1653
1 04040037 0.494136 0.00189799 19.2564 04040043 -0.000622432 0.496656 19.2551
2 04040038 0.494442 0.00159201 19.2516 04040036 0.00000 0.496034 19.2304
3 04040041 0.495504 0.000530005 19.2087 04040039 0.000850174 0.495184 19.2217