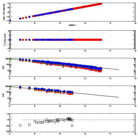
Left plots: red are targets, blue are telluric. Observed mags are calculated from median value of green chip. Zeropoint gives overall throughput: bigger number is more throughput.
First spatial plots: circles are objects, squares are tellurics, crosses are sky fibers. Colors give deviation of observed mag from expected 2MASS mag using the median zeropoint; red is brighter
Second spatial plots: circles are sky fibers. Colors give sky line brightness relative to plate median sky line brightness
FrameNreadsZeropointsMag plots Spatial mag deviation Spatial sky 16325A emission deviations (filled: sky, open: star) Spatial sky continuum emission Spatial sky telluric CO2 absorption deviations (filled: H < 10)
0 0
RedGreenBlue
z17.64
znorm Inf
sky -Inf -Inf -Inf
S/N 26.2 44.6 49.4
S/N(c) 0.0 0.0 0.0
SN(E/C) 0.93

IPAIRNAMESHIFTNEWSHIFTS/N NAMESHIFTNEWSHIFTS/N
0 04290029 0.507993 0.00000 18.9901 04290027 7.13390e-05 0.507922 19.0303
1 04290025 0.503650 0.00434297 18.9841 04290030 0.000916811 0.507076 19.0229
2 04290024 0.495291 0.0127020 18.9772 04290026 0.000183048 0.507810 18.9817
3 04290028 0.502721 0.00527197 18.9629 04290023 0.00000 0.507993 18.9185