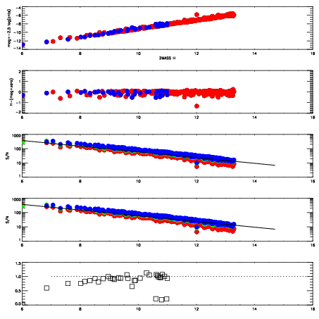
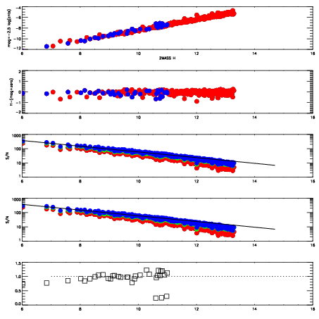
Frame | Nreads | Zeropoints | Mag plots
| Spatial mag deviation
| Spatial sky 16325A emission deviations (filled: sky, open: star)
| Spatial sky continuum emission
| Spatial sky telluric CO2 absorption deviations (filled: H < 10)
|
6950097
| 47
| | Red | Green | Blue
| z | | 19.21
| znorm | | 15.03
| sky | 14.9 | 14.5 | 14.5
| S/N | 18.7 | 28.9 | 30.4
| S/N(c) | 20.0 | 26.9 | 24.5
| SN(E/C) | 0.92
|
|
|
|
|
|
|
6950098
| 47
| | Red | Green | Blue
| z | | 19.22
| znorm | | 15.04
| sky | 15.2 | 14.9 | 14.7
| S/N | 18.7 | 29.0 | 30.9
| S/N(c) | 19.9 | 27.0 | 24.7
| SN(E/C) | 0.90
|
|
|
|
|
|
|
6950099
| 47
| | Red | Green | Blue
| z | | 19.21
| znorm | | 15.03
| sky | 14.9 | 14.8 | 14.9
| S/N | 18.6 | 29.2 | 31.4
| S/N(c) | 19.9 | 27.1 | 24.8
| SN(E/C) | 0.86
|
|
|
|
|
|
|
6950100
| 47
| | Red | Green | Blue
| z | | 19.20
| znorm | | 15.02
| sky | 15.0 | 14.8 | 14.8
| S/N | 18.0 | 28.7 | 31.2
| S/N(c) | 19.6 | 26.9 | 24.5
| SN(E/C) | 0.93
|
|
|
|
|
|
|
6950101
| 47
| | Red | Green | Blue
| z | | 19.18
| znorm | | 15.00
| sky | 14.8 | 14.5 | 14.9
| S/N | 18.2 | 28.6 | 30.8
| S/N(c) | 19.5 | 26.6 | 24.5
| SN(E/C) | 0.89
|
|
|
|
|
|
|
6950102
| 47
| | Red | Green | Blue
| z | | 19.19
| znorm | | 15.01
| sky | 15.0 | 14.8 | 14.8
| S/N | 18.5 | 28.7 | 31.0
| S/N(c) | 19.6 | 26.6 | 24.7
| SN(E/C) | 0.94
|
|
|
|
|
|
|
6950103
| 47
| | Red | Green | Blue
| z | | 18.82
| znorm | | 14.64
| sky | 14.9 | 14.6 | 14.8
| S/N | 13.9 | 23.7 | 25.7
| S/N(c) | 15.7 | 22.4 | 20.6
| SN(E/C) | 0.96
|
|
|
|
|
|
|
6950104
| 47
| | Red | Green | Blue
| z | | 18.45
| znorm | | 14.27
| sky | 14.9 | 14.7 | 14.9
| S/N | 11.2 | 18.9 | 19.9
| S/N(c) | 12.4 | 18.2 | 17.0
| SN(E/C) | 0.99
|
|
|
|
|
|
|
6950105
| 47
| | Red | Green | Blue
| z | | 17.85
| znorm | | 13.67
| sky | 14.9 | 14.6 | 15.0
| S/N | 7.2 | 13.3 | 14.3
| S/N(c) | 8.4 | 13.5 | 12.7
| SN(E/C) | 0.98
|
|
|
|
|
|
|
6950106
| 47
| | Red | Green | Blue
| z | | 17.99
| znorm | | 13.81
| sky | 14.9 | 14.8 | 15.0
| S/N | 7.8 | 14.1 | 14.9
| S/N(c) | 9.2 | 14.4 | 13.2
| SN(E/C) | 0.98
|
|
|
|
|
|
|