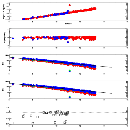
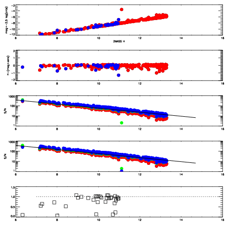
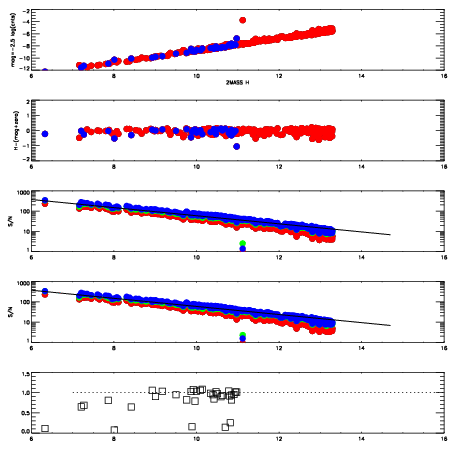
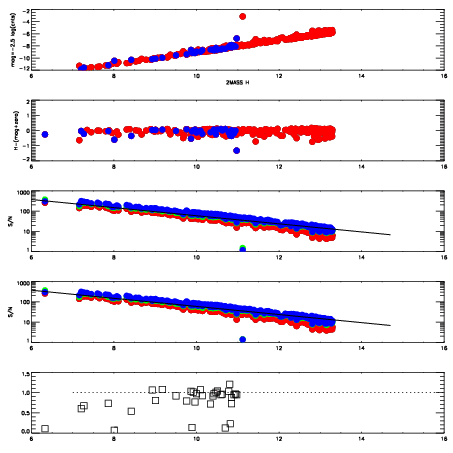
Frame | Nreads | Zeropoints | Mag plots
| Spatial mag deviation
| Spatial sky 16325A emission deviations (filled: sky, open: star)
| Spatial sky continuum emission
| Spatial sky telluric CO2 absorption deviations (filled: H < 10)
|
4030051
| 47
| | Red | Green | Blue
| z | | 19.20
| znorm | | 15.02
| sky | 14.5 | 14.2 | 14.2
| S/N | 15.4 | 24.6 | 24.9
| S/N(c) | 31.7 | 31.4 | 22.8
| SN(E/C) | 0.86
|
|
|
|
|
|
|
4030052
| 47
| | Red | Green | Blue
| z | | 19.14
| znorm | | 14.96
| sky | 14.6 | 14.4 | 14.5
| S/N | 14.7 | 23.8 | 24.4
| S/N(c) | 30.5 | 30.2 | 22.2
| SN(E/C) | 0.92
|
|
|
|
|
|
|
4030053
| 47
| | Red | Green | Blue
| z | | 19.13
| znorm | | 14.95
| sky | 14.7 | 14.3 | 14.4
| S/N | 14.6 | 23.3 | 24.1
| S/N(c) | 30.3 | 30.1 | 22.4
| SN(E/C) | 0.93
|
|
|
|
|
|
|
4030054
| 47
| | Red | Green | Blue
| z | | 19.16
| znorm | | 14.98
| sky | 14.5 | 14.4 | 14.4
| S/N | 14.9 | 23.4 | 24.3
| S/N(c) | 30.6 | 30.4 | 22.6
| SN(E/C) | 0.91
|
|
|
|
|
|
|
4030055
| 47
| | Red | Green | Blue
| z | | 19.07
| znorm | | 14.89
| sky | 14.6 | 14.5 | 14.6
| S/N | 14.3 | 22.8 | 23.6
| S/N(c) | 29.4 | 29.1 | 21.6
| SN(E/C) | 0.92
|
|
|
|
|
|
|
4030056
| 47
| | Red | Green | Blue
| z | | 18.84
| znorm | | 14.66
| sky | 14.9 | 14.5 | 14.7
| S/N | 12.3 | 20.1 | 21.0
| S/N(c) | 26.0 | 26.6 | 19.7
| SN(E/C) | 0.91
|
|
|
|
|
|
|
4030057
| 47
| | Red | Green | Blue
| z | | 18.81
| znorm | | 14.63
| sky | 14.9 | 14.6 | 14.6
| S/N | 11.9 | 19.8 | 20.5
| S/N(c) | 25.5 | 26.2 | 19.2
| SN(E/C) | 0.94
|
|
|
|
|
|
|
4030058
| 47
| | Red | Green | Blue
| z | | 18.50
| znorm | | 14.32
| sky | 14.0 | 13.8 | 13.8
| S/N | 9.6 | 16.1 | 17.1
| S/N(c) | 21.6 | 22.7 | 16.8
| SN(E/C) | 0.94
|
|
|
|
|
|
|