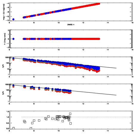
Left plots: red are targets, blue are telluric. Observed mags are calculated from median value of green chip. Zeropoint gives overall throughput: bigger number is more throughput.
First spatial plots: circles are objects, squares are tellurics, crosses are sky fibers. Colors give deviation of observed mag from expected 2MASS mag using the median zeropoint; red is brighter
Second spatial plots: circles are sky fibers. Colors give sky line brightness relative to plate median sky line brightness
FrameNreadsZeropointsMag plots Spatial mag deviation Spatial sky 16325A emission deviations (filled: sky, open: star) Spatial sky continuum emission Spatial sky telluric CO2 absorption deviations (filled: H < 10)
0 0
RedGreenBlue
z17.64
znorm Inf
sky -Inf -Inf -Inf
S/N 14.8 27.1 30.3
S/N(c) 0.0 0.0 0.0
SN(E/C) 0.88

IPAIRNAMESHIFTNEWSHIFTS/N NAMESHIFTNEWSHIFTS/N
0 04600016 0.501794 0.00000 18.4949 04600017 0.00241427 0.499380 18.6904
1 04600015 0.499815 0.00197899 18.3983 04600010 0.00000 0.501794 18.4417
2 04600011 0.500359 0.00143498 18.3854 04600013 0.00130294 0.500491 18.3605
3 04600012 0.501254 0.000539958 18.3184 04600014 0.00165125 0.500143 18.2120