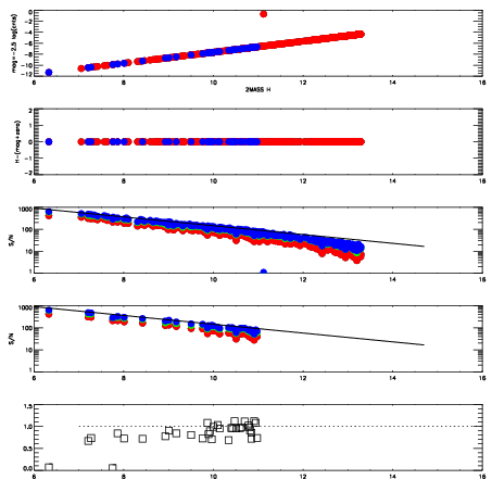
Left plots: red are targets, blue are telluric. Observed mags are calculated from median value of green chip. Zeropoint gives overall throughput: bigger number is more throughput.
First spatial plots: circles are objects, squares are tellurics, crosses are sky fibers. Colors give deviation of observed mag from expected 2MASS mag using the median zeropoint; red is brighter
Second spatial plots: circles are sky fibers. Colors give sky line brightness relative to plate median sky line brightness
FrameNreadsZeropointsMag plots Spatial mag deviation Spatial sky 16325A emission deviations (filled: sky, open: star) Spatial sky continuum emission Spatial sky telluric CO2 absorption deviations (filled: H < 10)
0 0
RedGreenBlue
z17.64
znorm Inf
sky -Inf -Inf -Inf
S/N 16.5 31.7 33.9
S/N(c) 0.0 0.0 0.0
SN(E/C) 0.89

IPAIRNAMESHIFTNEWSHIFTS/N NAMESHIFTNEWSHIFTS/N
0 04070012 0.503709 0.00000 18.5307 04070018 0.00238514 0.501324 18.1193
1 04070020 0.501522 0.00218701 18.7778 04070021 0.00412367 0.499585 18.9189
2 04070019 0.502403 0.00130600 18.2818 04070014 0.00338523 0.500324 17.7655
3 04070016 0.502832 0.000877023 18.2617 04070013 0.00421572 0.499493 17.6702
4 04070011 0.502807 0.000901997 18.1309 04070017 0.00516720 0.498542 17.5297
5 04070015 0.502408 0.00130099 17.8999 04070010 0.00000 0.503709 17.1683