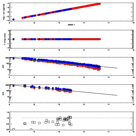
Left plots: red are targets, blue are telluric. Observed mags are calculated from median value of green chip. Zeropoint gives overall throughput: bigger number is more throughput.
First spatial plots: circles are objects, squares are tellurics, crosses are sky fibers. Colors give deviation of observed mag from expected 2MASS mag using the median zeropoint; red is brighter
Second spatial plots: circles are sky fibers. Colors give sky line brightness relative to plate median sky line brightness
FrameNreadsZeropointsMag plots Spatial mag deviation Spatial sky 16325A emission deviations (filled: sky, open: star) Spatial sky continuum emission Spatial sky telluric CO2 absorption deviations (filled: H < 10)
0 0
RedGreenBlue
z17.64
znorm Inf
sky -Inf -Inf -Inf
S/N 33.8 56.8 63.2
S/N(c) 0.0 0.0 0.0
SN(E/C) 0.76

IPAIRNAMESHIFTNEWSHIFTS/N NAMESHIFTNEWSHIFTS/N
0 06940099 0.500464 0.00000 19.1552 06940102 0.000882674 0.499581 19.1541
1 06940108 0.497602 0.00286204 19.1883 06940109 0.00254263 0.497921 19.1841
2 06940107 0.497171 0.00329301 19.1824 06940106 -0.000466474 0.500930 19.1818
3 06940104 0.497950 0.00251403 19.1683 06940105 0.000713824 0.499750 19.1780
4 06940103 0.497802 0.00266203 19.1649 06940098 0.00000 0.500464 19.1619
5 06940100 0.500396 6.80089e-05 19.1493 06940101 0.00436906 0.496095 19.1348