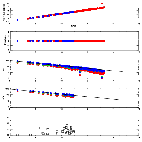
Left plots: red are targets, blue are telluric. Observed mags are calculated from median value of green chip. Zeropoint gives overall throughput: bigger number is more throughput.
First spatial plots: circles are objects, squares are tellurics, crosses are sky fibers. Colors give deviation of observed mag from expected 2MASS mag using the median zeropoint; red is brighter
Second spatial plots: circles are sky fibers. Colors give sky line brightness relative to plate median sky line brightness
FrameNreadsZeropointsMag plots Spatial mag deviation Spatial sky 16325A emission deviations (filled: sky, open: star) Spatial sky continuum emission Spatial sky telluric CO2 absorption deviations (filled: H < 10)
0 0
RedGreenBlue
z17.64
znorm Inf
sky -Inf -NaN -Inf
S/N 17.7 33.7 35.3
S/N(c) 0.0 0.0 0.0
SN(E/C) 0.28

IPAIRNAMESHIFTNEWSHIFTS/N NAMESHIFTNEWSHIFTS/N
0 03960060 0.502704 0.00000 18.5499 03960061 0.00425244 0.498452 18.6072
1 03960056 0.498381 0.00432304 18.5230 03960057 -0.00120399 0.503908 18.5001
2 03960059 0.501867 0.000837028 18.4977 03960054 0.00000 0.502704 18.4109
3 03960055 0.498305 0.00439903 18.4521 03960058 -0.00115845 0.503863 18.2048