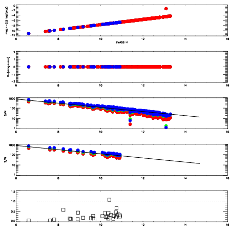
Left plots: red are targets, blue are telluric. Observed mags are calculated from median value of green chip. Zeropoint gives overall throughput: bigger number is more throughput.
First spatial plots: circles are objects, squares are tellurics, crosses are sky fibers. Colors give deviation of observed mag from expected 2MASS mag using the median zeropoint; red is brighter
Second spatial plots: circles are sky fibers. Colors give sky line brightness relative to plate median sky line brightness
FrameNreadsZeropointsMag plots Spatial mag deviation Spatial sky 16325A emission deviations (filled: sky, open: star) Spatial sky continuum emission Spatial sky telluric CO2 absorption deviations (filled: H < 10)
0 0
RedGreenBlue
z17.64
znorm Inf
sky -NaN -NaN -Inf
S/N 24.6 43.9 45.8
S/N(c) 0.0 0.0 0.0
SN(E/C) 0.24

IPAIRNAMESHIFTNEWSHIFTS/N NAMESHIFTNEWSHIFTS/N
0 03970066 0.500036 0.00000 18.9810 03970064 0.00183350 0.498203 19.0065
1 03970062 0.497035 0.00300100 18.9616 03970063 0.00125583 0.498780 18.9844
2 03970061 0.495961 0.00407499 18.9075 03970060 0.00000 0.500036 18.9514
3 03970065 0.499863 0.000173002 18.8420 03970067 0.000478362 0.499558 18.9131