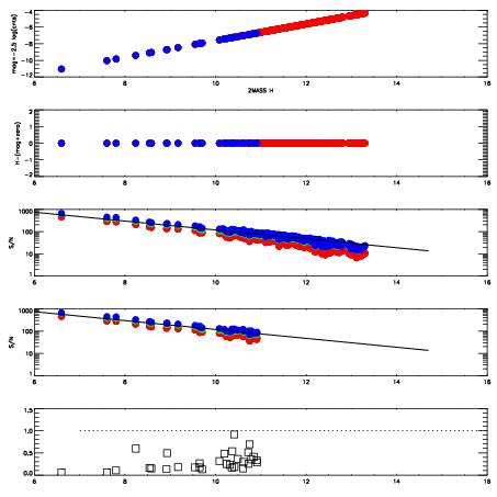
Left plots: red are targets, blue are telluric. Observed mags are calculated from median value of green chip. Zeropoint gives overall throughput: bigger number is more throughput.
First spatial plots: circles are objects, squares are tellurics, crosses are sky fibers. Colors give deviation of observed mag from expected 2MASS mag using the median zeropoint; red is brighter
Second spatial plots: circles are sky fibers. Colors give sky line brightness relative to plate median sky line brightness
FrameNreadsZeropointsMag plots Spatial mag deviation Spatial sky 16325A emission deviations (filled: sky, open: star) Spatial sky continuum emission Spatial sky telluric CO2 absorption deviations (filled: H < 10)
0 0
RedGreenBlue
z17.64
znorm Inf
sky -NaN -NaN -NaN
S/N 22.4 41.1 43.2
S/N(c) 0.0 0.0 0.0
SN(E/C) 0.25

IPAIRNAMESHIFTNEWSHIFTS/N NAMESHIFTNEWSHIFTS/N
0 03740040 0.502228 0.00000 18.9794 03740041 0.00475626 0.497472 18.8818
1 03740039 0.500167 0.00206101 18.9212 03740038 0.00290013 0.499328 18.8643
2 03740036 0.498882 0.00334603 18.6660 03740037 0.00258912 0.499639 18.7976
3 03740035 0.497235 0.00499302 18.5734 03740034 0.00000 0.502228 18.5083