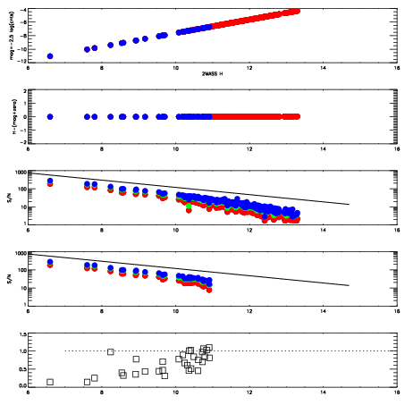
Left plots: red are targets, blue are telluric. Observed mags are calculated from median value of green chip. Zeropoint gives overall throughput: bigger number is more throughput.
First spatial plots: circles are objects, squares are tellurics, crosses are sky fibers. Colors give deviation of observed mag from expected 2MASS mag using the median zeropoint; red is brighter
Second spatial plots: circles are sky fibers. Colors give sky line brightness relative to plate median sky line brightness
FrameNreadsZeropointsMag plots Spatial mag deviation Spatial sky 16325A emission deviations (filled: sky, open: star) Spatial sky continuum emission Spatial sky telluric CO2 absorption deviations (filled: H < 10)
0 0
RedGreenBlue
z17.65
znorm Inf
sky -Inf -NaN -Inf
S/N 5.3 9.8 10.9
S/N(c) 0.0 0.0 0.0
SN(E/C) 0.70

IPAIRNAMESHIFTNEWSHIFTS/N NAMESHIFTNEWSHIFTS/N
0 04020026 0.503212 0.00000 16.7364 04020028 0.00140446 0.501808 17.3899
1 04020025 0.499663 0.00354898 17.1101 04020024 0.00000 0.503212 17.7395
2 04020029 0.501074 0.00213796 17.0865 04020027 0.00221190 0.501000 17.6274
3 04020030 0.502549 0.000662982 15.7218 04020031 0.00287858 0.500333 15.8297