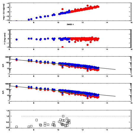
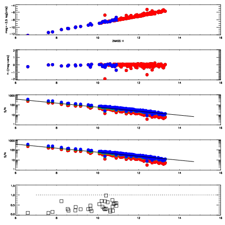
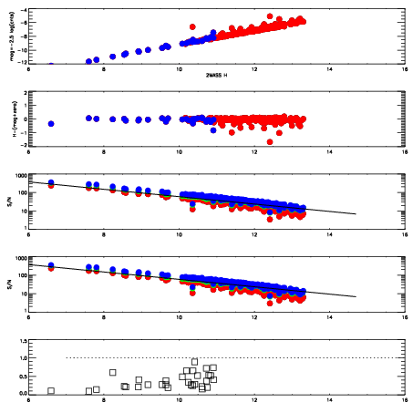
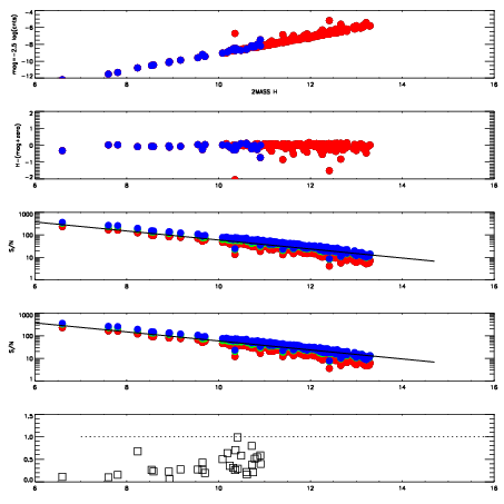
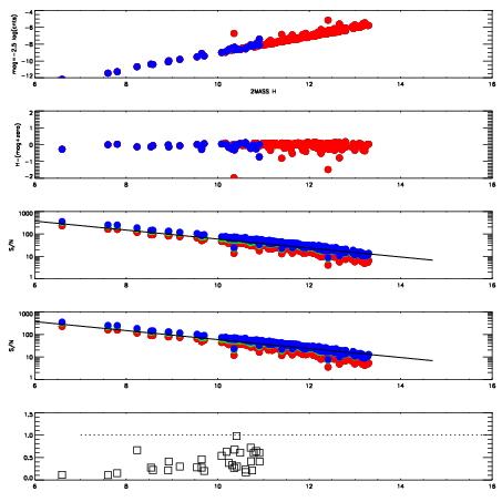
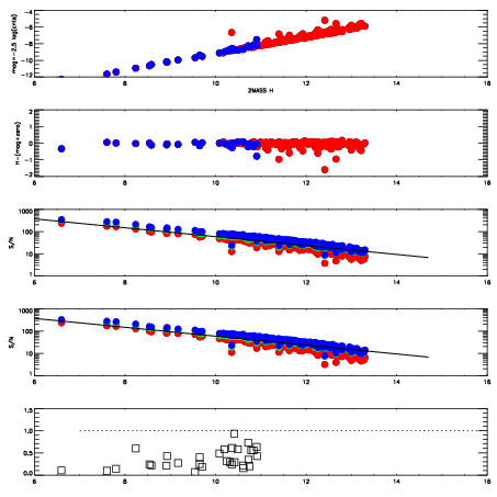
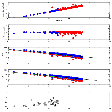
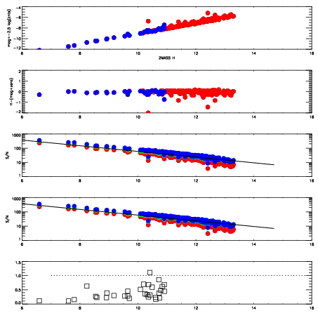
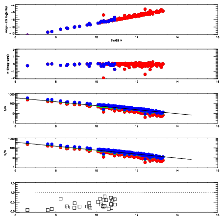
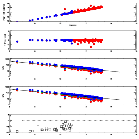
Frame | Nreads | Zeropoints | Mag plots
| Spatial mag deviation
| Spatial sky 16325A emission deviations (filled: sky, open: star)
| Spatial sky continuum emission
| Spatial sky telluric CO2 absorption deviations (filled: H < 10)
|
4030073
| 47
| | Red | Green | Blue
| z | | 19.07
| znorm | | 14.89
| sky | 14.9 | 14.5 | 14.3
| S/N | 15.6 | 25.7 | 27.4
| S/N(c) | 7.1 | 35.7 | 15.3
| SN(E/C) | 0.31
|
|
|
|
|
|
|
4030074
| 47
| | Red | Green | Blue
| z | | 19.03
| znorm | | 14.85
| sky | 14.8 | 14.6 | 14.7
| S/N | 15.0 | 25.2 | 27.3
| S/N(c) | 6.9 | 34.8 | 15.1
| SN(E/C) | 0.32
|
|
|
|
|
|
|
4030075
| 47
| | Red | Green | Blue
| z | | 18.99
| znorm | | 14.81
| sky | 14.9 | 14.8 | 14.8
| S/N | 14.4 | 24.9 | 26.8
| S/N(c) | 6.7 | 34.2 | 14.9
| SN(E/C) | 0.33
|
|
|
|
|
|
|
4030076
| 47
| | Red | Green | Blue
| z | | 19.05
| znorm | | 14.87
| sky | 15.0 | 14.7 | 14.8
| S/N | 15.2 | 25.8 | 28.0
| S/N(c) | 6.9 | 35.3 | 15.4
| SN(E/C) | 0.33
|
|
|
|
|
|
|
4030077
| 47
| | Red | Green | Blue
| z | | 19.07
| znorm | | 14.89
| sky | 15.0 | 14.8 | 14.8
| S/N | 15.3 | 26.1 | 28.1
| S/N(c) | 7.0 | 36.0 | 15.6
| SN(E/C) | 0.33
|
|
|
|
|
|
|
4030078
| 47
| | Red | Green | Blue
| z | | 19.11
| znorm | | 14.93
| sky | 15.1 | 14.8 | 14.8
| S/N | 15.8 | 26.3 | 28.5
| S/N(c) | 7.2 | 36.3 | 15.9
| SN(E/C) | 0.29
|
|
|
|
|
|
|
4030079
| 47
| | Red | Green | Blue
| z | | 19.13
| znorm | | 14.95
| sky | 14.9 | 14.7 | 14.7
| S/N | 16.0 | 26.5 | 28.8
| S/N(c) | 7.2 | 36.3 | 16.0
| SN(E/C) | 0.31
|
|
|
|
|
|
|
4030080
| 47
| | Red | Green | Blue
| z | | 19.14
| znorm | | 14.96
| sky | 14.9 | 14.6 | 14.9
| S/N | 16.4 | 26.9 | 29.0
| S/N(c) | 7.3 | 36.3 | 16.2
| SN(E/C) | 0.32
|
|
|
|
|
|
|
4030081
| 47
| | Red | Green | Blue
| z | | 19.19
| znorm | | 15.01
| sky | 14.9 | 14.9 | 15.0
| S/N | 17.0 | 27.4 | 29.8
| S/N(c) | 7.5 | 37.3 | 16.7
| SN(E/C) | 0.30
|
|
|
|
|
|
|
4030082
| 47
| | Red | Green | Blue
| z | | 19.19
| znorm | | 15.01
| sky | 14.8 | 15.0 | 14.9
| S/N | 16.7 | 27.7 | 30.0
| S/N(c) | 7.4 | 37.1 | 16.6
| SN(E/C) | 0.29
|
|
|
|
|
|
|
4030083
| 47
| | Red | Green | Blue
| z | | 19.22
| znorm | | 15.04
| sky | 14.9 | 14.8 | 14.8
| S/N | 17.4 | 28.0 | 30.3
| S/N(c) | 7.5 | 37.7 | 16.9
| SN(E/C) | 0.28
|
|
|
|
|
|
|
4030084
| 47
| | Red | Green | Blue
| z | | 19.19
| znorm | | 15.01
| sky | 14.7 | 14.7 | 14.7
| S/N | 16.4 | 27.3 | 29.6
| S/N(c) | 7.2 | 37.0 | 16.5
| SN(E/C) | 0.29
|
|
|
|
|
|
|