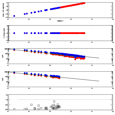
Left plots: red are targets, blue are telluric. Observed mags are calculated from median value of green chip. Zeropoint gives overall throughput: bigger number is more throughput.
First spatial plots: circles are objects, squares are tellurics, crosses are sky fibers. Colors give deviation of observed mag from expected 2MASS mag using the median zeropoint; red is brighter
Second spatial plots: circles are sky fibers. Colors give sky line brightness relative to plate median sky line brightness
FrameNreadsZeropointsMag plots Spatial mag deviation Spatial sky 16325A emission deviations (filled: sky, open: star) Spatial sky continuum emission Spatial sky telluric CO2 absorption deviations (filled: H < 10)
0 0
RedGreenBlue
z17.64
znorm Inf
sky -NaN -Inf -Inf
S/N 27.7 47.6 52.2
S/N(c) 0.0 0.0 0.0
SN(E/C) 0.21

IPAIRNAMESHIFTNEWSHIFTS/N NAMESHIFTNEWSHIFTS/N
0 04280054 0.497250 0.00000 18.9804 04280055 0.00177114 0.495479 18.9912
1 04280058 0.494965 0.00228500 19.1573 04280059 0.00223364 0.495016 19.1616
2 04280053 0.493870 0.00338000 19.1041 04280056 0.000815199 0.496435 19.0712
3 04280057 0.494101 0.00314900 19.0975 04280052 0.00000 0.497250 19.0484