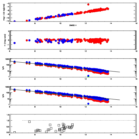
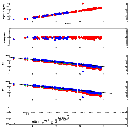
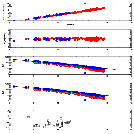
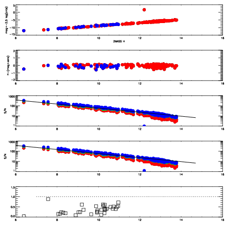
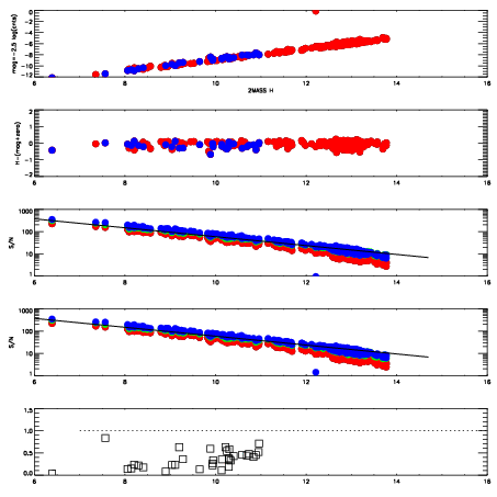
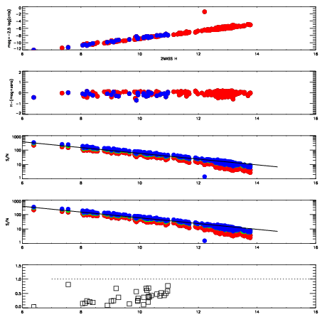
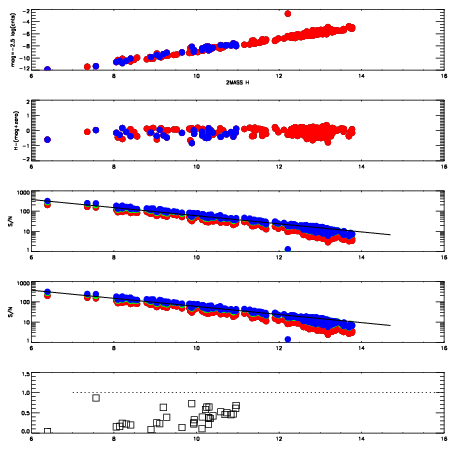
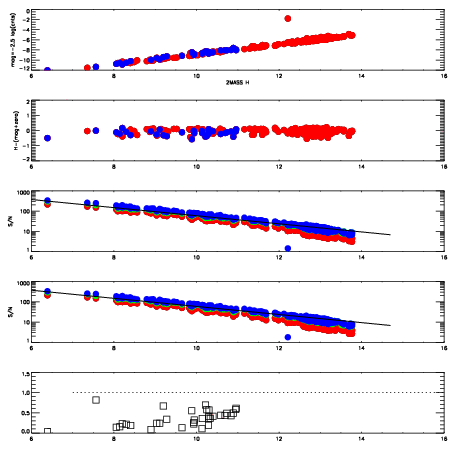
Frame | Nreads | Zeropoints | Mag plots
| Spatial mag deviation
| Spatial sky 16325A emission deviations (filled: sky, open: star)
| Spatial sky continuum emission
| Spatial sky telluric CO2 absorption deviations (filled: H < 10)
|
3980067
| 47
| | Red | Green | Blue
| z | | 18.87
| znorm | | 14.69
| sky | 15.2 | 14.5 | 14.4
| S/N | 15.2 | 24.2 | 26.7
| S/N(c) | 12.0 | 14.0 | 49.5
| SN(E/C) | 0.38
|
|
|
|
|
|
|
3980068
| 47
| | Red | Green | Blue
| z | | 18.96
| znorm | | 14.78
| sky | 14.7 | 14.5 | 14.7
| S/N | 16.0 | 25.6 | 27.8
| S/N(c) | 12.3 | 14.7 | 51.8
| SN(E/C) | 0.36
|
|
|
|
|
|
|
3980069
| 47
| | Red | Green | Blue
| z | | 18.80
| znorm | | 14.62
| sky | 15.0 | 14.7 | 14.8
| S/N | 14.6 | 23.4 | 25.4
| S/N(c) | 11.7 | 14.1 | 48.4
| SN(E/C) | 0.39
|
|
|
|
|
|
|
3980070
| 47
| | Red | Green | Blue
| z | | 18.75
| znorm | | 14.57
| sky | 14.9 | 14.7 | 14.8
| S/N | 13.7 | 22.4 | 24.1
| S/N(c) | 11.1 | 13.5 | 47.2
| SN(E/C) | 0.38
|
|
|
|
|
|
|
3980071
| 47
| | Red | Green | Blue
| z | | 18.91
| znorm | | 14.73
| sky | 15.0 | 14.8 | 14.7
| S/N | 15.3 | 24.8 | 26.3
| S/N(c) | 12.5 | 15.0 | 51.4
| SN(E/C) | 0.37
|
|
|
|
|
|
|
3980072
| 47
| | Red | Green | Blue
| z | | 18.89
| znorm | | 14.71
| sky | 15.1 | 14.8 | 14.7
| S/N | 15.1 | 24.5 | 26.3
| S/N(c) | 12.5 | 14.9 | 51.4
| SN(E/C) | 0.37
|
|
|
|
|
|
|
3980073
| 47
| | Red | Green | Blue
| z | | 18.84
| znorm | | 14.66
| sky | 15.1 | 14.9 | 14.8
| S/N | 14.5 | 23.8 | 25.5
| S/N(c) | 11.5 | 14.0 | 49.7
| SN(E/C) | 0.37
|
|
|
|
|
|
|
3980074
| 47
| | Red | Green | Blue
| z | | 18.95
| znorm | | 14.77
| sky | 15.1 | 14.8 | 14.8
| S/N | 15.5 | 25.0 | 26.8
| S/N(c) | 12.4 | 14.9 | 51.9
| SN(E/C) | 0.36
|
|
|
|
|
|
|