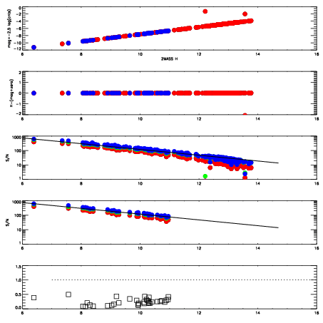
Left plots: red are targets, blue are telluric. Observed mags are calculated from median value of green chip. Zeropoint gives overall throughput: bigger number is more throughput.
First spatial plots: circles are objects, squares are tellurics, crosses are sky fibers. Colors give deviation of observed mag from expected 2MASS mag using the median zeropoint; red is brighter
Second spatial plots: circles are sky fibers. Colors give sky line brightness relative to plate median sky line brightness
FrameNreadsZeropointsMag plots Spatial mag deviation Spatial sky 16325A emission deviations (filled: sky, open: star) Spatial sky continuum emission Spatial sky telluric CO2 absorption deviations (filled: H < 10)
0 0
RedGreenBlue
z17.64
znorm Inf
sky -NaN -NaN -NaN
S/N 26.1 45.0 47.1
S/N(c) 0.0 0.0 0.0
SN(E/C) 0.23

IPAIRNAMESHIFTNEWSHIFTS/N NAMESHIFTNEWSHIFTS/N
0 04360027 0.493882 0.00000 18.9372 04360028 -0.000851927 0.494734 18.9697
1 04360026 0.486793 0.00708899 18.9221 04360021 0.00000 0.493882 18.7972
2 04360023 0.490604 0.00327799 18.8692 04360025 -0.00315336 0.497035 18.6351
3 04360022 0.488320 0.00556201 18.7324 04360024 0.00143711 0.492445 18.6346