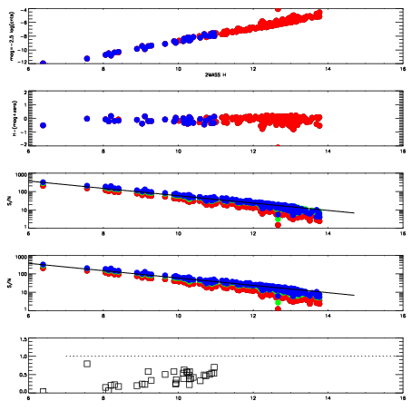
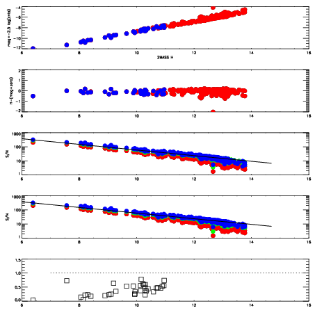
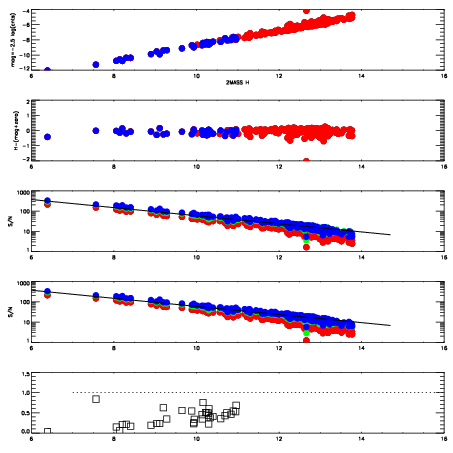
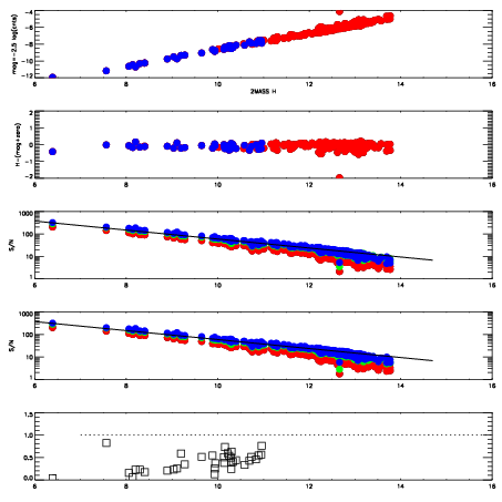
Frame | Nreads | Zeropoints | Mag plots
| Spatial mag deviation
| Spatial sky 16325A emission deviations (filled: sky, open: star)
| Spatial sky continuum emission
| Spatial sky telluric CO2 absorption deviations (filled: H < 10)
|
7850059
| 47
| | Red | Green | Blue
| z | | 18.85
| znorm | | 14.67
| sky | 15.2 | 14.6 | 14.3
| S/N | 14.7 | 24.4 | 25.7
| S/N(c) | 14.3 | 25.1 | 11.5
| SN(E/C) | 0.39
|
|
|
|
|
|
|
7850060
| 47
| | Red | Green | Blue
| z | | 18.84
| znorm | | 14.66
| sky | 15.1 | 14.7 | 14.6
| S/N | 14.6 | 24.7 | 26.3
| S/N(c) | 14.3 | 25.2 | 11.7
| SN(E/C) | 0.38
|
|
|
|
|
|
|
7850061
| 47
| | Red | Green | Blue
| z | | 18.85
| znorm | | 14.67
| sky | 15.1 | 14.8 | 14.8
| S/N | 14.8 | 24.8 | 26.5
| S/N(c) | 14.4 | 25.3 | 11.9
| SN(E/C) | 0.39
|
|
|
|
|
|
|
7850062
| 47
| | Red | Green | Blue
| z | | 18.82
| znorm | | 14.64
| sky | 15.3 | 15.1 | 14.8
| S/N | 14.6 | 24.5 | 26.1
| S/N(c) | 14.1 | 24.8 | 11.9
| SN(E/C) | 0.40
|
|
|
|
|
|
|
7850063
| 47
| | Red | Green | Blue
| z | | 18.75
| znorm | | 14.57
| sky | 15.2 | 15.2 | 15.0
| S/N | 13.6 | 23.2 | 25.0
| S/N(c) | 13.6 | 24.0 | 11.6
| SN(E/C) | 0.40
|
|
|
|
|
|
|
7850064
| 47
| | Red | Green | Blue
| z | | 18.85
| znorm | | 14.67
| sky | 15.2 | 15.2 | 15.1
| S/N | 14.6 | 24.9 | 26.6
| S/N(c) | 14.3 | 25.4 | 12.0
| SN(E/C) | 0.41
|
|
|
|
|
|
|
7850065
| 47
| | Red | Green | Blue
| z | | 18.83
| znorm | | 14.65
| sky | 15.5 | 15.1 | 15.0
| S/N | 14.5 | 24.3 | 26.3
| S/N(c) | 14.1 | 25.3 | 11.9
| SN(E/C) | 0.40
|
|
|
|
|
|
|
7850066
| 47
| | Red | Green | Blue
| z | | 18.81
| znorm | | 14.63
| sky | 15.8 | 15.1 | 15.1
| S/N | 14.3 | 24.6 | 26.2
| S/N(c) | 14.1 | 24.9 | 11.8
| SN(E/C) | 0.38
|
|
|
|
|
|
|