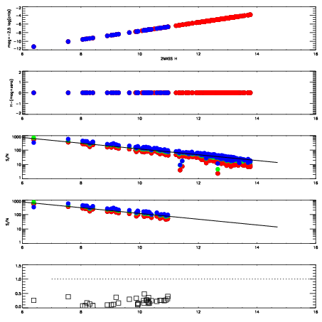
Left plots: red are targets, blue are telluric. Observed mags are calculated from median value of green chip. Zeropoint gives overall throughput: bigger number is more throughput.
First spatial plots: circles are objects, squares are tellurics, crosses are sky fibers. Colors give deviation of observed mag from expected 2MASS mag using the median zeropoint; red is brighter
Second spatial plots: circles are sky fibers. Colors give sky line brightness relative to plate median sky line brightness
FrameNreadsZeropointsMag plots Spatial mag deviation Spatial sky 16325A emission deviations (filled: sky, open: star) Spatial sky continuum emission Spatial sky telluric CO2 absorption deviations (filled: H < 10)
0 0
RedGreenBlue
z17.63
znorm Inf
sky -Inf -NaN -Inf
S/N 29.2 48.2 55.3
S/N(c) 0.0 0.0 0.0
SN(E/C) 0.22

IPAIRNAMESHIFTNEWSHIFTS/N NAMESHIFTNEWSHIFTS/N
0 07540091 0.477167 0.00000 19.1133 07540085 0.00000 0.477167 19.0988
1 07540087 0.476804 0.000363022 19.1359 07540088 0.00264114 0.474526 19.1730
2 07540086 0.476103 0.00106400 19.1247 07540089 0.000406236 0.476761 19.1658
3 07540090 0.476963 0.000203997 19.1185 07540092 -0.0129604 0.490127 19.1504