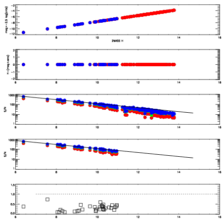
Left plots: red are targets, blue are telluric. Observed mags are calculated from median value of green chip. Zeropoint gives overall throughput: bigger number is more throughput.
First spatial plots: circles are objects, squares are tellurics, crosses are sky fibers. Colors give deviation of observed mag from expected 2MASS mag using the median zeropoint; red is brighter
Second spatial plots: circles are sky fibers. Colors give sky line brightness relative to plate median sky line brightness
FrameNreadsZeropointsMag plots Spatial mag deviation Spatial sky 16325A emission deviations (filled: sky, open: star) Spatial sky continuum emission Spatial sky telluric CO2 absorption deviations (filled: H < 10)
0 0
RedGreenBlue
z17.64
znorm Inf
sky -NaN -NaN -Inf
S/N 15.8 28.8 32.7
S/N(c) 0.0 0.0 0.0
SN(E/C) 0.29

IPAIRNAMESHIFTNEWSHIFTS/N NAMESHIFTNEWSHIFTS/N
0 07900043 0.469287 0.00000 18.6843 07900041 0.00173287 0.467554 18.4958
1 07900042 0.467965 0.00132200 18.6962 07900044 0.00340822 0.465879 18.7044
2 07900039 0.468926 0.000360996 18.2542 07900040 0.000996012 0.468291 18.1929
3 07900038 0.466383 0.00290400 18.0494 07900037 0.00000 0.469287 17.8503