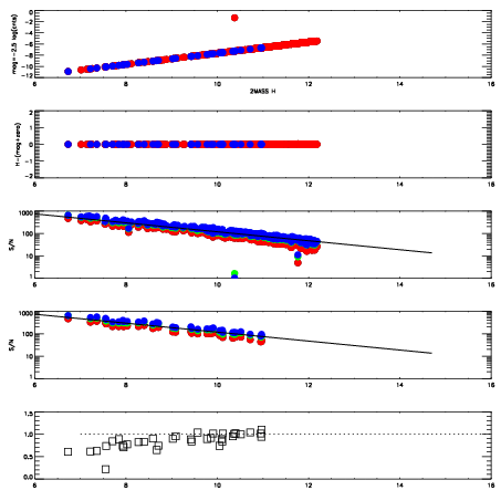
Left plots: red are targets, blue are telluric. Observed mags are calculated from median value of green chip. Zeropoint gives overall throughput: bigger number is more throughput.
First spatial plots: circles are objects, squares are tellurics, crosses are sky fibers. Colors give deviation of observed mag from expected 2MASS mag using the median zeropoint; red is brighter
Second spatial plots: circles are sky fibers. Colors give sky line brightness relative to plate median sky line brightness
FrameNreadsZeropointsMag plots Spatial mag deviation Spatial sky 16325A emission deviations (filled: sky, open: star) Spatial sky continuum emission Spatial sky telluric CO2 absorption deviations (filled: H < 10)
0 0
RedGreenBlue
z17.64
znorm Inf
sky -Inf -Inf -Inf
S/N 24.5 40.9 43.9
S/N(c) 0.0 0.0 0.0
SN(E/C) 0.89

IPAIRNAMESHIFTNEWSHIFTS/N NAMESHIFTNEWSHIFTS/N
0 03690014 0.502035 0.00000 18.9757 03690012 0.00290403 0.499131 18.9552
1 03690013 0.498755 0.00328001 18.9695 03690015 0.00383937 0.498196 18.9405
2 03690010 0.498646 0.00338903 18.8084 03690011 0.00477773 0.497257 18.9252
3 03690009 0.497649 0.00438601 18.7823 03690008 0.00000 0.502035 18.8990