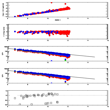
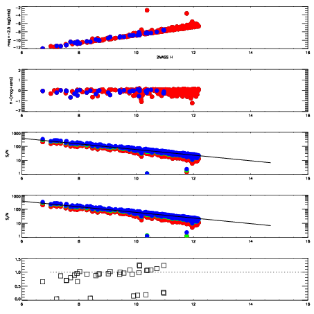
Frame | Nreads | Zeropoints | Mag plots
| Spatial mag deviation
| Spatial sky 16325A emission deviations (filled: sky, open: star)
| Spatial sky continuum emission
| Spatial sky telluric CO2 absorption deviations (filled: H < 10)
|
6720021
| 47
| | Red | Green | Blue
| z | | 18.73
| znorm | | 14.55
| sky | 14.3 | 14.2 | 14.3
| S/N | 12.5 | 19.6 | 19.9
| S/N(c) | 17.8 | 22.9 | 23.2
| SN(E/C) | 0.90
|
|
|
|
|
|
|
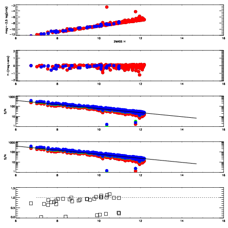
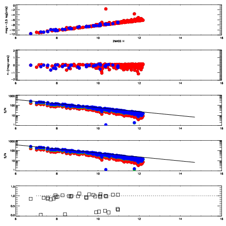
6720022
| 47
| | Red | Green | Blue
| z | | 18.31
| znorm | | 14.13
| sky | 14.1 | 14.1 | 14.2
| S/N | 8.7 | 14.6 | 15.2
| S/N(c) | 13.4 | 18.2 | 18.5
| SN(E/C) | 0.95
|
|
|
|
|
|
|
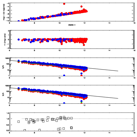
6720023
| 47
| | Red | Green | Blue
| z | | 18.61
| znorm | | 14.43
| sky | 14.3 | 14.1 | 14.4
| S/N | 11.0 | 18.2 | 18.4
| S/N(c) | 16.7 | 21.4 | 22.0
| SN(E/C) | 0.93
|
|
|
|
|
|
|
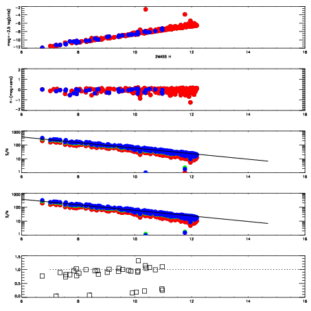
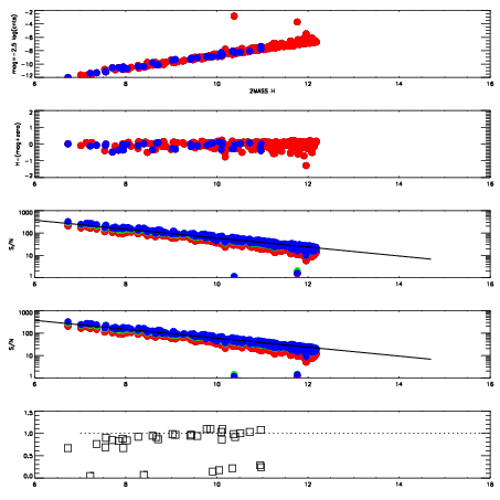
6720024
| 47
| | Red | Green | Blue
| z | | 18.93
| znorm | | 14.75
| sky | 14.3 | 14.3 | 14.5
| S/N | 13.7 | 22.5 | 22.9
| S/N(c) | 20.5 | 25.4 | 26.4
| SN(E/C) | 0.88
|
|
|
|
|
|
|
6720025
| 47
| | Red | Green | Blue
| z | | 18.21
| znorm | | 14.03
| sky | 14.0 | 14.1 | 14.4
| S/N | 8.5 | 14.8 | 15.4
| S/N(c) | 12.3 | 16.9 | 17.8
| SN(E/C) | 0.94
|
|
|
|
|
|
|
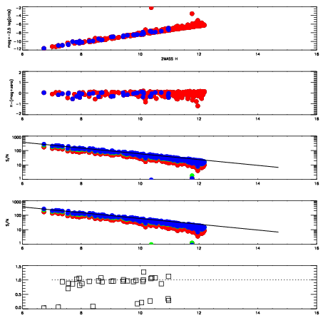
6720026
| 47
| | Red | Green | Blue
| z | | 18.73
| znorm | | 14.55
| sky | 14.1 | 14.2 | 14.4
| S/N | 12.6 | 20.4 | 21.1
| S/N(c) | 17.8 | 22.8 | 23.5
| SN(E/C) | 0.90
|
|
|
|
|
|
|
6720027
| 47
| | Red | Green | Blue
| z | | 18.75
| znorm | | 14.57
| sky | 14.3 | 14.2 | 14.4
| S/N | 12.7 | 20.8 | 21.6
| S/N(c) | 18.0 | 22.6 | 23.9
| SN(E/C) | 0.93
|
|
|
|
|
|
|
6720028
| 47
| | Red | Green | Blue
| z | | 18.45
| znorm | | 14.27
| sky | 14.1 | 14.2 | 14.3
| S/N | 9.8 | 17.0 | 17.6
| S/N(c) | 14.9 | 19.8 | 20.9
| SN(E/C) | 0.94
|
|
|
|
|
|
|