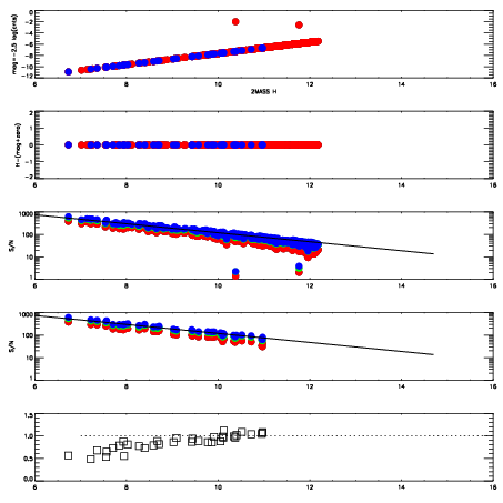
Left plots: red are targets, blue are telluric. Observed mags are calculated from median value of green chip. Zeropoint gives overall throughput: bigger number is more throughput.
First spatial plots: circles are objects, squares are tellurics, crosses are sky fibers. Colors give deviation of observed mag from expected 2MASS mag using the median zeropoint; red is brighter
Second spatial plots: circles are sky fibers. Colors give sky line brightness relative to plate median sky line brightness
FrameNreadsZeropointsMag plots Spatial mag deviation Spatial sky 16325A emission deviations (filled: sky, open: star) Spatial sky continuum emission Spatial sky telluric CO2 absorption deviations (filled: H < 10)
0 0
RedGreenBlue
z17.64
znorm Inf
sky -NaN -Inf -NaN
S/N 19.9 34.1 35.6
S/N(c) 0.0 0.0 0.0
SN(E/C) 0.87

IPAIRNAMESHIFTNEWSHIFTS/N NAMESHIFTNEWSHIFTS/N
0 06720023 0.481057 0.00000 18.5775 06720028 -0.000103164 0.481160 18.4328
1 06720027 0.480505 0.000551999 18.7239 06720024 -0.00200640 0.483063 18.8972
2 06720026 0.478352 0.00270498 18.7061 06720021 0.00000 0.481057 18.7048
3 06720022 0.478878 0.00217900 18.2783 06720025 -0.00491285 0.485970 18.1913