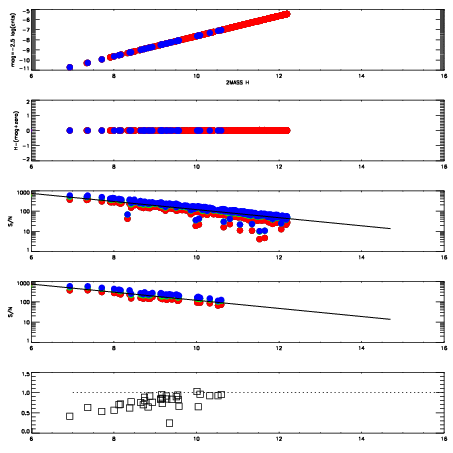
Left plots: red are targets, blue are telluric. Observed mags are calculated from median value of green chip. Zeropoint gives overall throughput: bigger number is more throughput.
First spatial plots: circles are objects, squares are tellurics, crosses are sky fibers. Colors give deviation of observed mag from expected 2MASS mag using the median zeropoint; red is brighter
Second spatial plots: circles are sky fibers. Colors give sky line brightness relative to plate median sky line brightness
FrameNreadsZeropointsMag plots Spatial mag deviation Spatial sky 16325A emission deviations (filled: sky, open: star) Spatial sky continuum emission Spatial sky telluric CO2 absorption deviations (filled: H < 10)
0 0
RedGreenBlue
z17.64
znorm Inf
sky -Inf -Inf -Inf
S/N 29.2 48.4 51.2
S/N(c) 0.0 0.0 0.0
SN(E/C) 0.80

IPAIRNAMESHIFTNEWSHIFTS/N NAMESHIFTNEWSHIFTS/N
0 09970061 0.519939 0.00000 19.0427 09970059 0.00203559 0.517903 19.0920
1 09970057 0.519081 0.000858009 19.1061 09970058 0.00177989 0.518159 19.1306
2 09970056 0.519308 0.000631034 19.1029 09970062 -0.000122816 0.520062 19.1125
3 09970060 0.519818 0.000120997 19.0454 09970055 0.00000 0.519939 19.1089