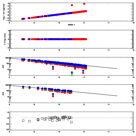
Left plots: red are targets, blue are telluric. Observed mags are calculated from median value of green chip. Zeropoint gives overall throughput: bigger number is more throughput.
First spatial plots: circles are objects, squares are tellurics, crosses are sky fibers. Colors give deviation of observed mag from expected 2MASS mag using the median zeropoint; red is brighter
Second spatial plots: circles are sky fibers. Colors give sky line brightness relative to plate median sky line brightness
FrameNreadsZeropointsMag plots Spatial mag deviation Spatial sky 16325A emission deviations (filled: sky, open: star) Spatial sky continuum emission Spatial sky telluric CO2 absorption deviations (filled: H < 10)
0 0
RedGreenBlue
z17.64
znorm Inf
sky -Inf -Inf -Inf
S/N 19.2 33.7 35.8
S/N(c) 0.0 0.0 0.0
SN(E/C) 0.99

IPAIRNAMESHIFTNEWSHIFTS/N NAMESHIFTNEWSHIFTS/N
0 07210017 0.486175 0.00000 18.8816 07210018 0.00550257 0.480672 18.8237
1 07210016 0.485653 0.000521988 18.8229 07210015 0.00625630 0.479919 18.6680
2 07210013 0.484186 0.00198901 18.6750 07210014 0.00707715 0.479098 18.5618
3 07210012 0.483600 0.00257501 18.2313 07210011 0.00000 0.486175 17.7737