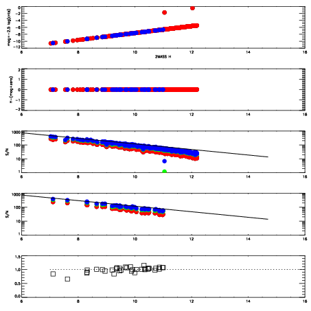
Left plots: red are targets, blue are telluric. Observed mags are calculated from median value of green chip. Zeropoint gives overall throughput: bigger number is more throughput.
First spatial plots: circles are objects, squares are tellurics, crosses are sky fibers. Colors give deviation of observed mag from expected 2MASS mag using the median zeropoint; red is brighter
Second spatial plots: circles are sky fibers. Colors give sky line brightness relative to plate median sky line brightness
FrameNreadsZeropointsMag plots Spatial mag deviation Spatial sky 16325A emission deviations (filled: sky, open: star) Spatial sky continuum emission Spatial sky telluric CO2 absorption deviations (filled: H < 10)
0 0
RedGreenBlue
z17.64
znorm Inf
sky -Inf -Inf -Inf
S/N 13.9 24.4 26.5
S/N(c) 0.0 0.0 0.0
SN(E/C) 1.01

IPAIRNAMESHIFTNEWSHIFTS/N NAMESHIFTNEWSHIFTS/N
0 07260018 0.481867 0.00000 18.2343 07260016 0.00197967 0.479887 18.3518
1 07260017 0.481548 0.000318974 18.3074 07260012 0.00000 0.481867 18.6712
2 07260013 0.477284 0.00458297 17.7057 07260015 0.00261366 0.479253 18.0056
3 07260014 0.477321 0.00454599 17.5457 07260019 0.00265419 0.479213 17.5982