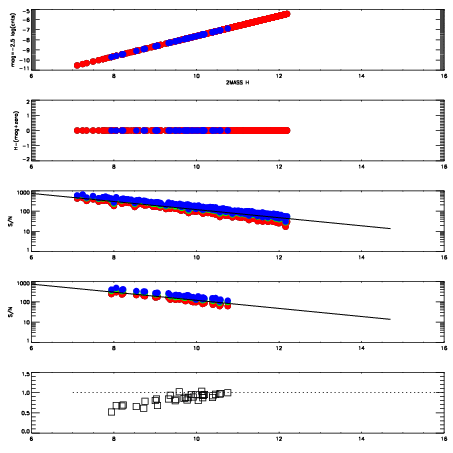
Left plots: red are targets, blue are telluric. Observed mags are calculated from median value of green chip. Zeropoint gives overall throughput: bigger number is more throughput.
First spatial plots: circles are objects, squares are tellurics, crosses are sky fibers. Colors give deviation of observed mag from expected 2MASS mag using the median zeropoint; red is brighter
Second spatial plots: circles are sky fibers. Colors give sky line brightness relative to plate median sky line brightness
FrameNreadsZeropointsMag plots Spatial mag deviation Spatial sky 16325A emission deviations (filled: sky, open: star) Spatial sky continuum emission Spatial sky telluric CO2 absorption deviations (filled: H < 10)
0 0
RedGreenBlue
z17.64
znorm Inf
sky -NaN -NaN -NaN
S/N 29.2 47.2 51.6
S/N(c) 0.0 0.0 0.0
SN(E/C) 0.87

IPAIRNAMESHIFTNEWSHIFTS/N NAMESHIFTNEWSHIFTS/N
0 06730017 0.483940 0.00000 19.1647 06730015 0.00165582 0.482284 19.1760
1 06730013 0.483732 0.000207990 19.1933 06730018 -0.00487307 0.488813 19.1815
2 06730012 0.481898 0.00204200 19.1640 06730014 0.000746524 0.483193 19.1607
3 06730016 0.481159 0.00278100 19.1508 06730011 0.00000 0.483940 19.1487