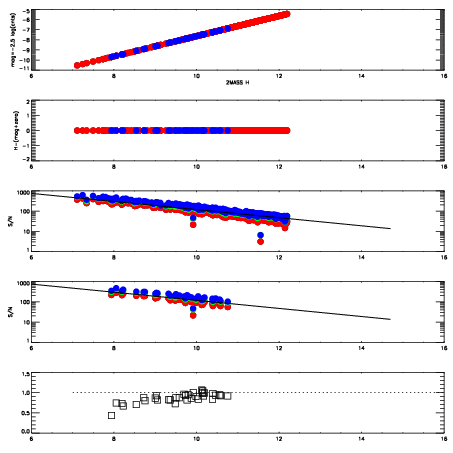
Left plots: red are targets, blue are telluric. Observed mags are calculated from median value of green chip. Zeropoint gives overall throughput: bigger number is more throughput.
First spatial plots: circles are objects, squares are tellurics, crosses are sky fibers. Colors give deviation of observed mag from expected 2MASS mag using the median zeropoint; red is brighter
Second spatial plots: circles are sky fibers. Colors give sky line brightness relative to plate median sky line brightness
FrameNreadsZeropointsMag plots Spatial mag deviation Spatial sky 16325A emission deviations (filled: sky, open: star) Spatial sky continuum emission Spatial sky telluric CO2 absorption deviations (filled: H < 10)
0 0
RedGreenBlue
z17.64
znorm Inf
sky -Inf -Inf -Inf
S/N 26.2 45.9 47.5
S/N(c) 0.0 0.0 0.0
SN(E/C) 0.87

IPAIRNAMESHIFTNEWSHIFTS/N NAMESHIFTNEWSHIFTS/N
0 06970032 0.488770 0.00000 19.1144 06970030 -0.00107878 0.489849 19.1074
1 06970031 0.488283 0.000487000 19.0890 06970029 0.00135631 0.487414 19.0662
2 06970027 0.485201 0.00356901 19.0838 06970026 0.00000 0.488770 19.0579
3 06970028 0.486125 0.00264502 19.0770 06970033 0.00186870 0.486901 19.0473