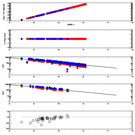
Left plots: red are targets, blue are telluric. Observed mags are calculated from median value of green chip. Zeropoint gives overall throughput: bigger number is more throughput.
First spatial plots: circles are objects, squares are tellurics, crosses are sky fibers. Colors give deviation of observed mag from expected 2MASS mag using the median zeropoint; red is brighter
Second spatial plots: circles are sky fibers. Colors give sky line brightness relative to plate median sky line brightness
FrameNreadsZeropointsMag plots Spatial mag deviation Spatial sky 16325A emission deviations (filled: sky, open: star) Spatial sky continuum emission Spatial sky telluric CO2 absorption deviations (filled: H < 10)
0 0
RedGreenBlue
z17.64
znorm Inf
sky -Inf -Inf -Inf
S/N 27.5 44.5 45.2
S/N(c) 0.0 0.0 0.0
SN(E/C) 0.85

IPAIRNAMESHIFTNEWSHIFTS/N NAMESHIFTNEWSHIFTS/N
0 03640012 0.511626 0.00000 18.9671 03640014 0.000657353 0.510969 18.9700
1 03640015 0.508358 0.00326800 18.9873 03640017 0.00156453 0.510062 19.0304
2 03640016 0.509766 0.00186002 18.9848 03640010 0.00000 0.511626 19.0003
3 03640011 0.509610 0.00201601 18.9023 03640013 0.00202581 0.509600 18.9047