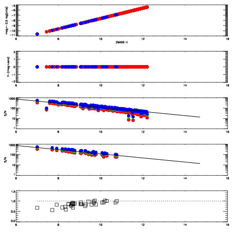
Left plots: red are targets, blue are telluric. Observed mags are calculated from median value of green chip. Zeropoint gives overall throughput: bigger number is more throughput.
First spatial plots: circles are objects, squares are tellurics, crosses are sky fibers. Colors give deviation of observed mag from expected 2MASS mag using the median zeropoint; red is brighter
Second spatial plots: circles are sky fibers. Colors give sky line brightness relative to plate median sky line brightness
FrameNreadsZeropointsMag plots Spatial mag deviation Spatial sky 16325A emission deviations (filled: sky, open: star) Spatial sky continuum emission Spatial sky telluric CO2 absorption deviations (filled: H < 10)
0 0
RedGreenBlue
z17.64
znorm Inf
sky -Inf -NaN -Inf
S/N 23.6 39.4 39.9
S/N(c) 0.0 0.0 0.0
SN(E/C) 0.86

IPAIRNAMESHIFTNEWSHIFTS/N NAMESHIFTNEWSHIFTS/N
0 03680013 0.507249 0.00000 18.9570 03680012 0.00324631 0.504003 18.9579
1 03680014 0.507223 2.59876e-05 19.1070 03680015 0.00301654 0.504232 19.0782
2 03680009 0.502312 0.00493699 18.8289 03680011 0.00207494 0.505174 18.7992
3 03680010 0.504363 0.00288600 18.7595 03680008 0.00000 0.507249 18.5420