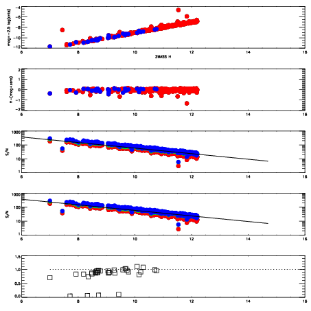
Frame | Nreads | Zeropoints | Mag plots
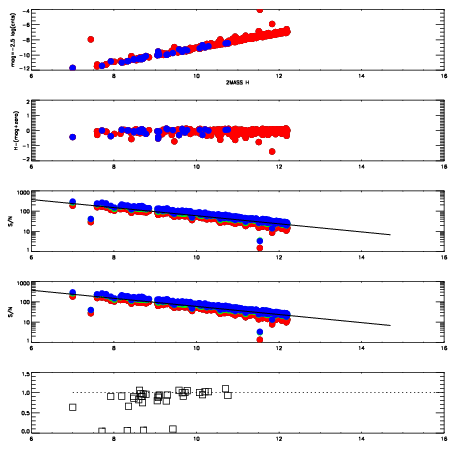
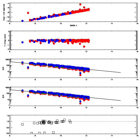
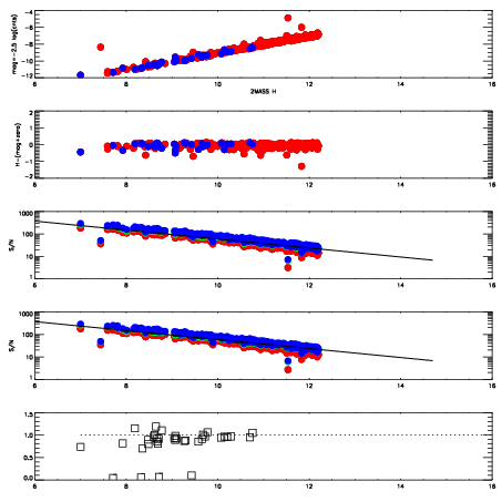
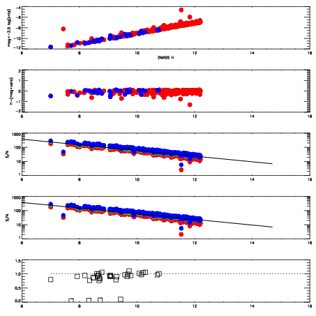
| Spatial mag deviation
| Spatial sky 16325A emission deviations (filled: sky, open: star)
| Spatial sky continuum emission
| Spatial sky telluric CO2 absorption deviations (filled: H < 10)
|
6070080
| 47
| | Red | Green | Blue
| z | | 19.05
| znorm | | 14.87
| sky | 14.6 | 14.4 | 14.6
| S/N | 15.9 | 24.8 | 25.6
| S/N(c) | 23.7 | 23.4 | 21.7
| SN(E/C) | 0.89
|
|
|
|
|
|
|
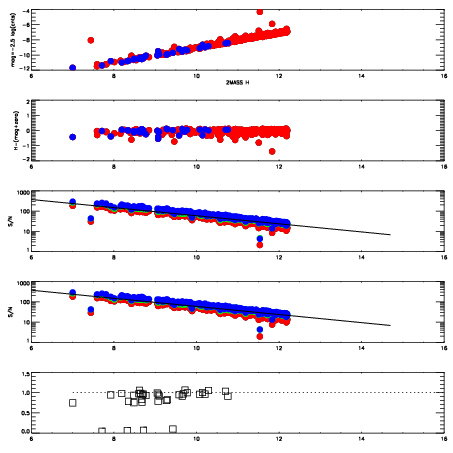
6070081
| 47
| | Red | Green | Blue
| z | | 19.12
| znorm | | 14.94
| sky | 14.5 | 14.4 | 14.6
| S/N | 16.5 | 25.6 | 25.8
| S/N(c) | 24.3 | 24.1 | 22.5
| SN(E/C) | 0.92
|
|
|
|
|
|
|
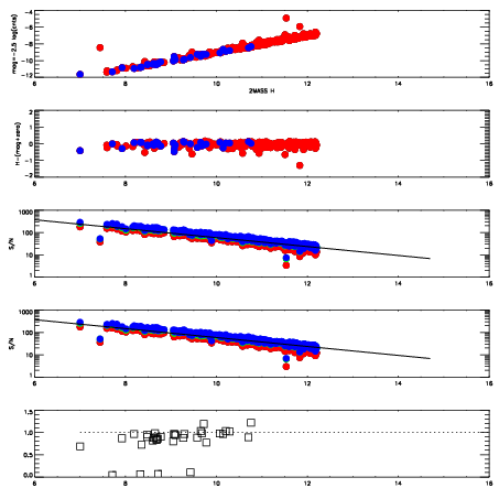
6070082
| 47
| | Red | Green | Blue
| z | | 19.05
| znorm | | 14.87
| sky | 14.6 | 14.5 | 14.6
| S/N | 16.1 | 25.0 | 25.1
| S/N(c) | 23.2 | 23.5 | 21.9
| SN(E/C) | 0.90
|
|
|
|
|
|
|
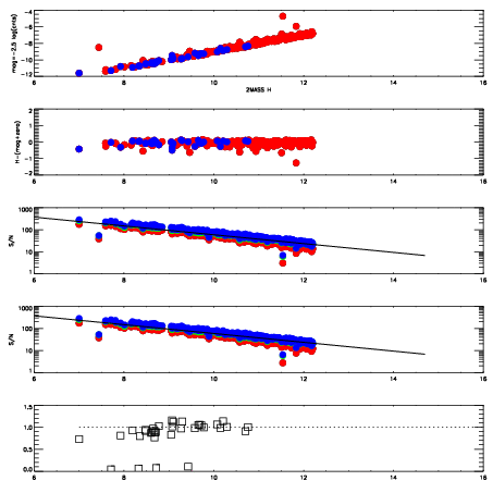
6070083
| 47
| | Red | Green | Blue
| z | | 19.06
| znorm | | 14.88
| sky | 14.6 | 14.5 | 14.8
| S/N | 16.2 | 24.8 | 25.5
| S/N(c) | 23.3 | 23.6 | 22.2
| SN(E/C) | 0.92
|
|
|
|
|
|
|
6070084
| 47
| | Red | Green | Blue
| z | | 19.03
| znorm | | 14.85
| sky | 14.7 | 14.7 | 14.9
| S/N | 15.6 | 24.8 | 25.5
| S/N(c) | 23.0 | 23.4 | 22.0
| SN(E/C) | 0.94
|
|
|
|
|
|
|
6070085
| 47
| | Red | Green | Blue
| z | | 19.08
| znorm | | 14.90
| sky | 15.0 | 14.8 | 14.8
| S/N | 16.2 | 25.3 | 26.3
| S/N(c) | 23.3 | 23.8 | 22.4
| SN(E/C) | 0.91
|
|
|
|
|
|
|
6070086
| 47
| | Red | Green | Blue
| z | | 19.14
| znorm | | 14.96
| sky | 14.6 | 14.8 | 14.8
| S/N | 16.5 | 25.9 | 27.0
| S/N(c) | 24.0 | 24.3 | 22.9
| SN(E/C) | 0.89
|
|
|
|
|
|
|
6070087
| 47
| | Red | Green | Blue
| z | | 19.09
| znorm | | 14.91
| sky | 14.6 | 14.7 | 14.8
| S/N | 16.1 | 25.6 | 26.8
| S/N(c) | 23.6 | 23.9 | 22.5
| SN(E/C) | 0.92
|
|
|
|
|
|
|
6070088
| 47
| | Red | Green | Blue
| z | | 19.11
| znorm | | 14.93
| sky | 14.7 | 14.8 | 14.9
| S/N | 16.3 | 26.0 | 27.2
| S/N(c) | 23.6 | 24.1 | 22.6
| SN(E/C) | 0.94
|
|
|
|
|
|
|
6070089
| 47
| | Red | Green | Blue
| z | | 19.13
| znorm | | 14.95
| sky | 14.6 | 14.7 | 14.7
| S/N | 16.5 | 26.0 | 27.6
| S/N(c) | 23.8 | 24.1 | 22.8
| SN(E/C) | 0.91
|
|
|
|
|
|
|