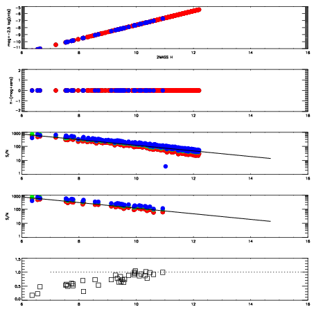
Left plots: red are targets, blue are telluric. Observed mags are calculated from median value of green chip. Zeropoint gives overall throughput: bigger number is more throughput.
First spatial plots: circles are objects, squares are tellurics, crosses are sky fibers. Colors give deviation of observed mag from expected 2MASS mag using the median zeropoint; red is brighter
Second spatial plots: circles are sky fibers. Colors give sky line brightness relative to plate median sky line brightness
FrameNreadsZeropointsMag plots Spatial mag deviation Spatial sky 16325A emission deviations (filled: sky, open: star) Spatial sky continuum emission Spatial sky telluric CO2 absorption deviations (filled: H < 10)
0 0
RedGreenBlue
z17.64
znorm Inf
sky -NaN -NaN -Inf
S/N 28.2 46.9 52.4
S/N(c) 0.0 0.0 0.0
SN(E/C) 0.73

IPAIRNAMESHIFTNEWSHIFTS/N NAMESHIFTNEWSHIFTS/N
0 03670014 0.504650 0.00000 19.2185 03670015 0.00364329 0.501007 19.2306
1 03670010 0.502711 0.00193900 19.1722 03670012 0.00100945 0.503641 19.1855
2 03670009 0.501113 0.00353700 19.1633 03670008 0.00000 0.504650 19.1825
3 03670013 0.500746 0.00390399 19.1520 03670011 0.00147492 0.503175 19.1812