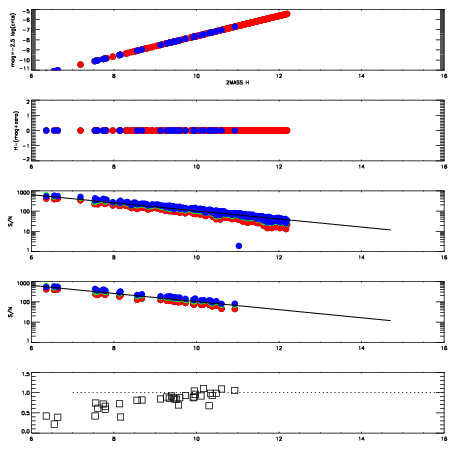
Left plots: red are targets, blue are telluric. Observed mags are calculated from median value of green chip. Zeropoint gives overall throughput: bigger number is more throughput.
First spatial plots: circles are objects, squares are tellurics, crosses are sky fibers. Colors give deviation of observed mag from expected 2MASS mag using the median zeropoint; red is brighter
Second spatial plots: circles are sky fibers. Colors give sky line brightness relative to plate median sky line brightness
FrameNreadsZeropointsMag plots Spatial mag deviation Spatial sky 16325A emission deviations (filled: sky, open: star) Spatial sky continuum emission Spatial sky telluric CO2 absorption deviations (filled: H < 10)
0 0
RedGreenBlue
z17.64
znorm Inf
sky -NaN -Inf -Inf
S/N 20.8 33.9 36.1
S/N(c) 0.0 0.0 0.0
SN(E/C) 0.84

IPAIRNAMESHIFTNEWSHIFTS/N NAMESHIFTNEWSHIFTS/N
0 10530030 0.494944 0.00000 18.8655 10530028 -0.00614778 0.501092 19.0952
1 10530026 0.492712 0.00223202 18.8626 10530029 -0.00666560 0.501610 19.0830
2 10530027 0.494813 0.000131011 18.5182 10530025 0.00000 0.494944 19.0142