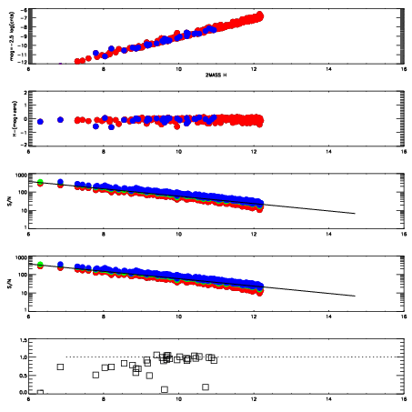
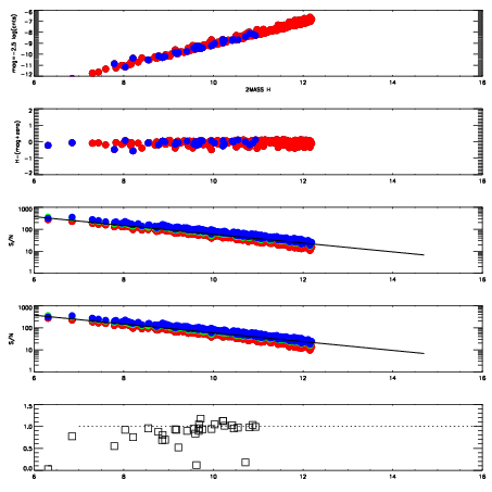
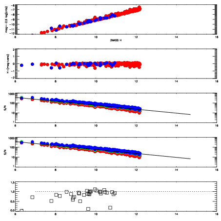
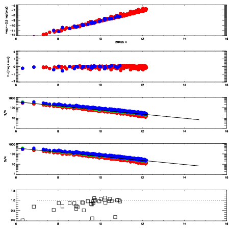
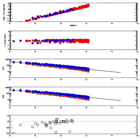
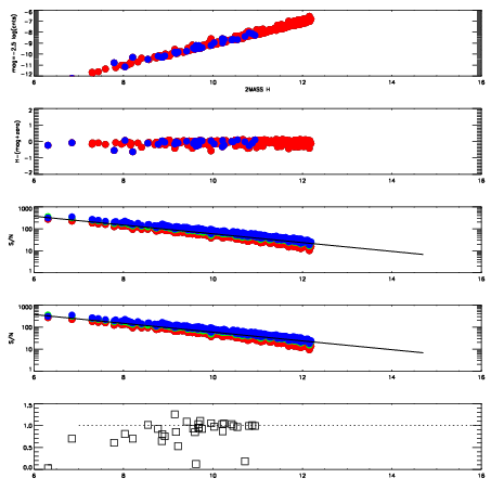
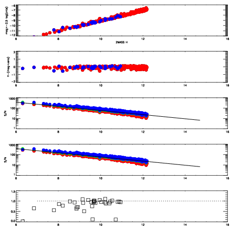
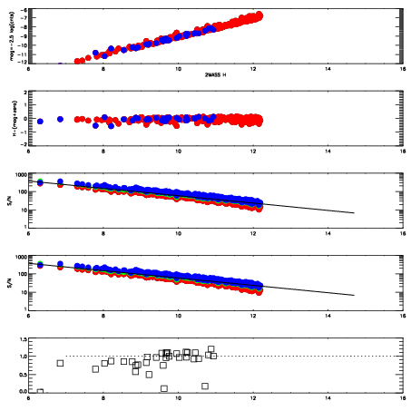
Frame | Nreads | Zeropoints | Mag plots
| Spatial mag deviation
| Spatial sky 16325A emission deviations (filled: sky, open: star)
| Spatial sky continuum emission
| Spatial sky telluric CO2 absorption deviations (filled: H < 10)
|
6930051
| 47
| | Red | Green | Blue
| z | | 19.13
| znorm | | 14.95
| sky | 14.8 | 14.4 | 14.6
| S/N | 16.1 | 25.2 | 26.8
| S/N(c) | 26.2 | 22.5 | 15.7
| SN(E/C) | 0.92
|
|
|
|
|
|
|
6930052
| 47
| | Red | Green | Blue
| z | | 19.13
| znorm | | 14.95
| sky | 14.9 | 14.5 | 14.8
| S/N | 16.1 | 25.1 | 26.6
| S/N(c) | 26.3 | 22.5 | 15.8
| SN(E/C) | 0.94
|
|
|
|
|
|
|
6930053
| 47
| | Red | Green | Blue
| z | | 19.12
| znorm | | 14.94
| sky | 14.9 | 14.6 | 14.9
| S/N | 15.8 | 25.1 | 26.2
| S/N(c) | 26.1 | 22.6 | 15.8
| SN(E/C) | 0.93
|
|
|
|
|
|
|
6930054
| 47
| | Red | Green | Blue
| z | | 19.13
| znorm | | 14.95
| sky | 14.8 | 14.7 | 14.7
| S/N | 15.6 | 25.0 | 26.3
| S/N(c) | 26.5 | 22.6 | 15.7
| SN(E/C) | 0.96
|
|
|
|
|
|
|
6930055
| 47
| | Red | Green | Blue
| z | | 19.15
| znorm | | 14.97
| sky | 14.7 | 14.5 | 14.9
| S/N | 16.2 | 25.2 | 27.1
| S/N(c) | 26.9 | 23.1 | 16.2
| SN(E/C) | 0.88
|
|
|
|
|
|
|
6930056
| 47
| | Red | Green | Blue
| z | | 19.14
| znorm | | 14.96
| sky | 15.2 | 14.7 | 14.9
| S/N | 16.1 | 25.4 | 27.0
| S/N(c) | 26.4 | 22.7 | 16.0
| SN(E/C) | 0.90
|
|
|
|
|
|
|
6930057
| 47
| | Red | Green | Blue
| z | | 19.12
| znorm | | 14.94
| sky | 14.9 | 14.7 | 15.0
| S/N | 15.8 | 25.4 | 26.6
| S/N(c) | 26.2 | 22.6 | 15.9
| SN(E/C) | 0.94
|
|
|
|
|
|
|
6930058
| 47
| | Red | Green | Blue
| z | | 19.17
| znorm | | 14.99
| sky | 15.2 | 14.9 | 14.8
| S/N | 16.4 | 25.8 | 27.6
| S/N(c) | 26.8 | 23.2 | 16.3
| SN(E/C) | 0.92
|
|
|
|
|
|
|