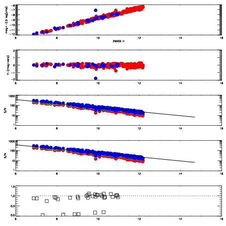
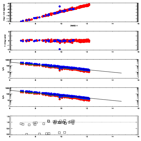
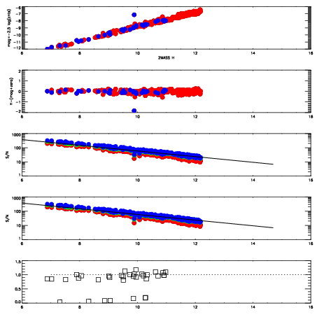
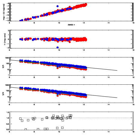
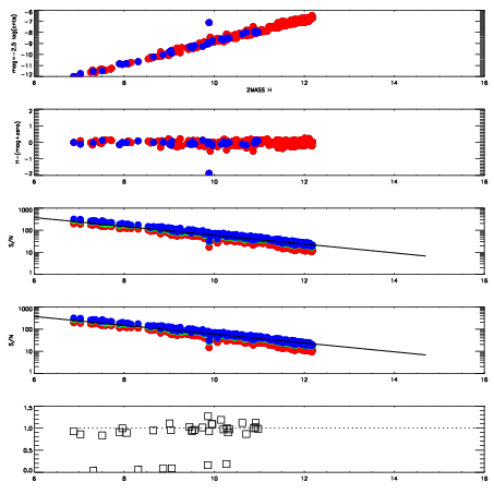
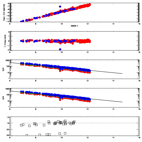
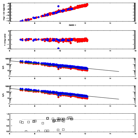
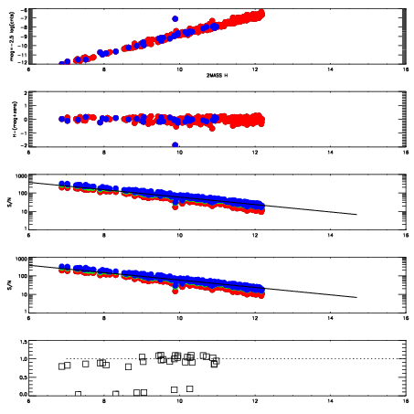
Frame | Nreads | Zeropoints | Mag plots
| Spatial mag deviation
| Spatial sky 16325A emission deviations (filled: sky, open: star)
| Spatial sky continuum emission
| Spatial sky telluric CO2 absorption deviations (filled: H < 10)
|
3980008
| 47
| | Red | Green | Blue
| z | | 18.73
| znorm | | 14.55
| sky | 14.4 | 13.9 | 13.7
| S/N | 12.8 | 21.0 | 20.8
| S/N(c) | 11.9 | 7.1 | 13.2
| SN(E/C) | 0.94
|
|
|
|
|
|
|
3980009
| 47
| | Red | Green | Blue
| z | | 18.85
| znorm | | 14.67
| sky | 14.3 | 14.1 | 14.0
| S/N | 13.7 | 22.2 | 22.7
| S/N(c) | 12.6 | 7.5 | 14.1
| SN(E/C) | 0.92
|
|
|
|
|
|
|
3980010
| 47
| | Red | Green | Blue
| z | | 18.86
| znorm | | 14.68
| sky | 14.5 | 14.1 | 14.0
| S/N | 13.4 | 22.1 | 22.6
| S/N(c) | 12.6 | 7.5 | 14.3
| SN(E/C) | 0.93
|
|
|
|
|
|
|
3980011
| 47
| | Red | Green | Blue
| z | | 18.82
| znorm | | 14.64
| sky | 14.4 | 14.2 | 14.1
| S/N | 12.7 | 21.8 | 22.1
| S/N(c) | 12.2 | 7.4 | 14.1
| SN(E/C) | 0.97
|
|
|
|
|
|
|
3980012
| 47
| | Red | Green | Blue
| z | | 18.86
| znorm | | 14.68
| sky | 14.4 | 14.3 | 14.1
| S/N | 13.4 | 22.1 | 22.6
| S/N(c) | 12.5 | 7.5 | 14.3
| SN(E/C) | 0.95
|
|
|
|
|
|
|
3980013
| 47
| | Red | Green | Blue
| z | | 18.79
| znorm | | 14.61
| sky | 14.6 | 14.3 | 14.1
| S/N | 12.5 | 21.2 | 21.7
| S/N(c) | 12.0 | 7.3 | 14.1
| SN(E/C) | 0.95
|
|
|
|
|
|
|
3980014
| 47
| | Red | Green | Blue
| z | | 18.81
| znorm | | 14.63
| sky | 14.6 | 14.3 | 14.2
| S/N | 12.8 | 21.2 | 22.0
| S/N(c) | 12.2 | 7.4 | 14.2
| SN(E/C) | 0.95
|
|
|
|
|
|
|
3980015
| 47
| | Red | Green | Blue
| z | | 18.87
| znorm | | 14.69
| sky | 14.4 | 14.3 | 14.3
| S/N | 13.5 | 22.1 | 22.8
| S/N(c) | 12.5 | 7.6 | 14.6
| SN(E/C) | 0.95
|
|
|
|
|
|
|