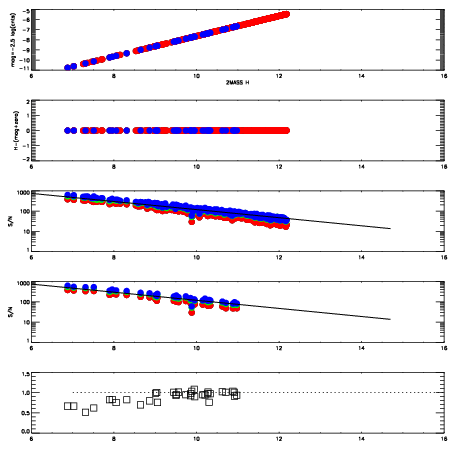
Left plots: red are targets, blue are telluric. Observed mags are calculated from median value of green chip. Zeropoint gives overall throughput: bigger number is more throughput.
First spatial plots: circles are objects, squares are tellurics, crosses are sky fibers. Colors give deviation of observed mag from expected 2MASS mag using the median zeropoint; red is brighter
Second spatial plots: circles are sky fibers. Colors give sky line brightness relative to plate median sky line brightness
FrameNreadsZeropointsMag plots Spatial mag deviation Spatial sky 16325A emission deviations (filled: sky, open: star) Spatial sky continuum emission Spatial sky telluric CO2 absorption deviations (filled: H < 10)
0 0
RedGreenBlue
z17.64
znorm Inf
sky -Inf -Inf -Inf
S/N 22.9 39.6 41.6
S/N(c) 0.0 0.0 0.0
SN(E/C) 0.94

IPAIRNAMESHIFTNEWSHIFTS/N NAMESHIFTNEWSHIFTS/N
0 03980014 0.498930 0.00000 18.8029 03980011 0.00133177 0.497598 18.8043
1 03980010 0.498432 0.000497997 18.8421 03980015 0.00142584 0.497504 18.8592
2 03980009 0.497758 0.00117201 18.8294 03980012 -0.000208480 0.499138 18.8427
3 03980013 0.498318 0.000612020 18.7796 03980008 0.00000 0.498930 18.7115