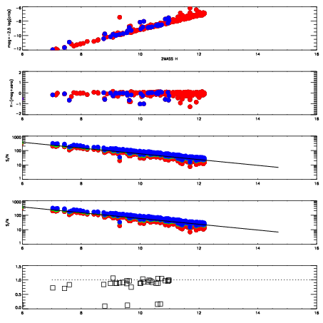
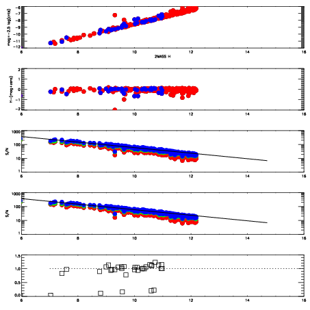
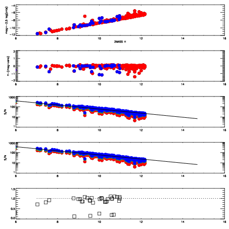
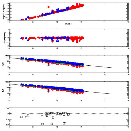
Frame | Nreads | Zeropoints | Mag plots
| Spatial mag deviation
| Spatial sky 16325A emission deviations (filled: sky, open: star)
| Spatial sky continuum emission
| Spatial sky telluric CO2 absorption deviations (filled: H < 10)
|
9990064
| 47
| | Red | Green | Blue
| z | | 12.90
| znorm | | 8.72
| sky | 13.6 | 13.5 | 13.6
| S/N | -0.0 | -0.2 | -0.1
| S/N(c) | 0.0 | 0.0 | 0.0
| SN(E/C) | 9.42
|
|
|
|
|
|
|
9990065
| 47
| | Red | Green | Blue
| z | | 13.28
| znorm | | 9.10
| sky | 13.6 | 13.5 | 13.6
| S/N | -0.1 | -0.3 | -0.2
| S/N(c) | 0.0 | 0.0 | 0.0
| SN(E/C) | 13.57
|
|
|
|
|
|
|
9990066
| 47
| | Red | Green | Blue
| z | | 18.69
| znorm | | 14.51
| sky | 13.8 | 13.6 | 13.7
| S/N | 11.5 | 18.7 | 19.1
| S/N(c) | 11.1 | 6.5 | 14.0
| SN(E/C) | 0.91
|
|
|
|
|
|
|
9990067
| 47
| | Red | Green | Blue
| z | | 19.15
| znorm | | 14.97
| sky | 15.5 | 15.0 | 15.4
| S/N | 16.5 | 26.5 | 27.3
| S/N(c) | 15.1 | 8.5 | 18.7
| SN(E/C) | 0.89
|
|
|
|
|
|
|
9990068
| 47
| | Red | Green | Blue
| z | | 18.54
| znorm | | 14.36
| sky | 14.3 | 14.2 | 14.4
| S/N | 10.1 | 17.8 | 18.3
| S/N(c) | 10.6 | 6.2 | 13.8
| SN(E/C) | 1.00
|
|
|
|
|
|
|
9990069
| 47
| | Red | Green | Blue
| z | | 18.69
| znorm | | 14.51
| sky | 13.7 | 13.7 | 13.7
| S/N | 11.3 | 19.1 | 19.8
| S/N(c) | 11.3 | 6.7 | 14.7
| SN(E/C) | 0.93
|
|
|
|
|
|
|
9990070
| 47
| | Red | Green | Blue
| z | | 19.14
| znorm | | 14.96
| sky | 15.4 | 15.0 | 15.3
| S/N | 16.4 | 26.3 | 27.8
| S/N(c) | 15.3 | 8.7 | 18.8
| SN(E/C) | 0.92
|
|
|
|
|
|
|
9990071
| 47
| | Red | Green | Blue
| z | | 19.13
| znorm | | 14.95
| sky | 14.6 | 14.7 | 15.0
| S/N | 16.0 | 25.8 | 27.3
| S/N(c) | 14.8 | 8.5 | 18.7
| SN(E/C) | 0.92
|
|
|
|
|
|
|