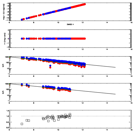
Left plots: red are targets, blue are telluric. Observed mags are calculated from median value of green chip. Zeropoint gives overall throughput: bigger number is more throughput.
First spatial plots: circles are objects, squares are tellurics, crosses are sky fibers. Colors give deviation of observed mag from expected 2MASS mag using the median zeropoint; red is brighter
Second spatial plots: circles are sky fibers. Colors give sky line brightness relative to plate median sky line brightness
FrameNreadsZeropointsMag plots Spatial mag deviation Spatial sky 16325A emission deviations (filled: sky, open: star) Spatial sky continuum emission Spatial sky telluric CO2 absorption deviations (filled: H < 10)
0 0
RedGreenBlue
z17.64
znorm Inf
sky -Inf -Inf -Inf
S/N 32.5 54.8 58.1
S/N(c) 0.0 0.0 0.0
SN(E/C) 0.92

IPAIRNAMESHIFTNEWSHIFTS/N NAMESHIFTNEWSHIFTS/N
0 10220074 0.493929 0.00000 19.1356 10220079 -0.00144473 0.495374 19.1306
1 10220077 0.492916 0.00101301 19.1523 10220076 -0.000654634 0.494584 19.1425
2 10220081 0.491901 0.00202799 19.1459 10220075 -0.000172529 0.494102 19.1352
3 10220078 0.493453 0.000476003 19.1222 10220080 -0.00162314 0.495552 19.1136
4 10220073 0.493597 0.000331998 19.1072 10220072 0.00000 0.493929 19.0958