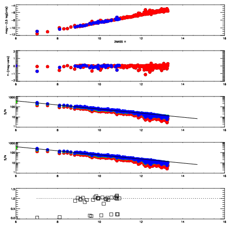
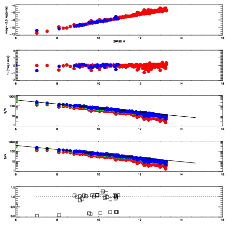
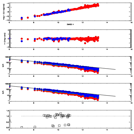
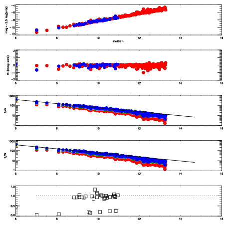
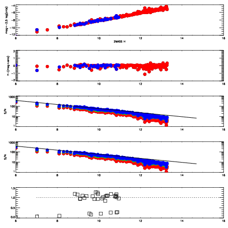
Frame | Nreads | Zeropoints | Mag plots
| Spatial mag deviation
| Spatial sky 16325A emission deviations (filled: sky, open: star)
| Spatial sky continuum emission
| Spatial sky telluric CO2 absorption deviations (filled: H < 10)
|
3790010
| 47
| | Red | Green | Blue
| z | | 18.63
| znorm | | 14.45
| sky | 14.7 | 14.3 | 14.2
| S/N | 12.4 | 20.8 | 21.0
| S/N(c) | 15.4 | 12.1 | 18.6
| SN(E/C) | 0.97
|
|
|
|
|
|
|
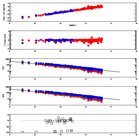
3790011
| 47
| | Red | Green | Blue
| z | | 18.43
| znorm | | 14.25
| sky | 14.7 | 14.5 | 14.6
| S/N | 10.4 | 18.4 | 19.1
| S/N(c) | 13.5 | 10.8 | 17.1
| SN(E/C) | 1.01
|
|
|
|
|
|
|
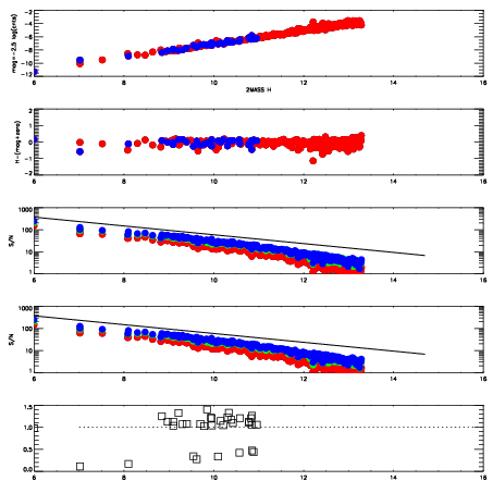
3790012
| 47
| | Red | Green | Blue
| z | | 18.51
| znorm | | 14.33
| sky | 14.7 | 14.6 | 14.6
| S/N | 10.7 | 18.6 | 19.1
| S/N(c) | 14.1 | 11.2 | 17.7
| SN(E/C) | 1.00
|
|
|
|
|
|
|
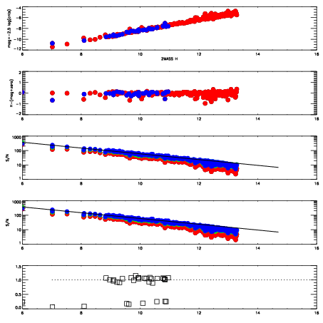
3790013
| 47
| | Red | Green | Blue
| z | | 17.12
| znorm | | 12.94
| sky | 14.9 | 14.6 | 14.8
| S/N | 3.7 | 7.4 | 7.6
| S/N(c) | 5.4 | 5.2 | 8.1
| SN(E/C) | 1.07
|
|
|
|
|
|
|
3790014
| 47
| | Red | Green | Blue
| z | | 18.34
| znorm | | 14.16
| sky | 14.7 | 14.6 | 14.7
| S/N | 8.8 | 16.4 | 16.9
| S/N(c) | 12.5 | 10.2 | 16.3
| SN(E/C) | 0.93
|
|
|
|
|
|
|
3790015
| 47
| | Red | Green | Blue
| z | | 18.18
| znorm | | 14.00
| sky | 14.6 | 14.5 | 14.6
| S/N | 7.9 | 14.5 | 14.9
| S/N(c) | 11.5 | 9.4 | 14.8
| SN(E/C) | 1.02
|
|
|
|
|
|
|
3790016
| 47
| | Red | Green | Blue
| z | | 19.17
| znorm | | 14.99
| sky | 15.0 | 14.6 | 14.5
| S/N | 16.3 | 26.2 | 27.9
| S/N(c) | 20.4 | 15.4 | 24.6
| SN(E/C) | 0.98
|
|
|
|
|
|
|
3790017
| 47
| | Red | Green | Blue
| z | | 18.27
| znorm | | 14.09
| sky | 14.5 | 14.5 | 14.5
| S/N | 8.7 | 16.1 | 16.4
| S/N(c) | 11.7 | 9.6 | 15.3
| SN(E/C) | 1.00
|
|
|
|
|
|
|