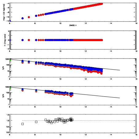
Left plots: red are targets, blue are telluric. Observed mags are calculated from median value of green chip. Zeropoint gives overall throughput: bigger number is more throughput.
First spatial plots: circles are objects, squares are tellurics, crosses are sky fibers. Colors give deviation of observed mag from expected 2MASS mag using the median zeropoint; red is brighter
Second spatial plots: circles are sky fibers. Colors give sky line brightness relative to plate median sky line brightness
FrameNreadsZeropointsMag plots Spatial mag deviation Spatial sky 16325A emission deviations (filled: sky, open: star) Spatial sky continuum emission Spatial sky telluric CO2 absorption deviations (filled: H < 10)
0 0
RedGreenBlue
z17.63
znorm Inf
sky -Inf -NaN -Inf
S/N 17.4 31.4 33.3
S/N(c) 0.0 0.0 0.0
SN(E/C) 1.00

IPAIRNAMESHIFTNEWSHIFTS/N NAMESHIFTNEWSHIFTS/N
0 03790016 0.507371 0.00000 19.1612 03790010 0.00000 0.507371 18.6144
1 03790012 0.505368 0.00200301 18.4886 03790014 0.000178766 0.507192 18.3187
2 03790011 0.505224 0.00214702 18.4153 03790017 0.00316283 0.504208 18.2547
3 03790015 0.506868 0.000503004 18.1697 03790013 0.00158799 0.505783 17.1159