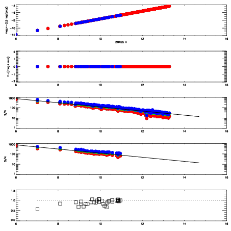
Left plots: red are targets, blue are telluric. Observed mags are calculated from median value of green chip. Zeropoint gives overall throughput: bigger number is more throughput.
First spatial plots: circles are objects, squares are tellurics, crosses are sky fibers. Colors give deviation of observed mag from expected 2MASS mag using the median zeropoint; red is brighter
Second spatial plots: circles are sky fibers. Colors give sky line brightness relative to plate median sky line brightness
FrameNreadsZeropointsMag plots Spatial mag deviation Spatial sky 16325A emission deviations (filled: sky, open: star) Spatial sky continuum emission Spatial sky telluric CO2 absorption deviations (filled: H < 10)
0 0
RedGreenBlue
z17.64
znorm Inf
sky -Inf -NaN -Inf
S/N 30.1 49.8 54.2
S/N(c) 0.0 0.0 0.0
SN(E/C) 0.93

IPAIRNAMESHIFTNEWSHIFTS/N NAMESHIFTNEWSHIFTS/N
0 04060016 0.505243 0.00000 19.1395 04060014 0.00155769 0.503685 19.1167
1 04060012 0.500422 0.00482100 19.1548 04060017 0.00259321 0.502650 19.1557
2 04060011 0.499427 0.00581601 19.1536 04060013 0.000192810 0.505050 19.1544
3 04060015 0.503722 0.00152099 19.1211 04060010 0.00000 0.505243 19.0963