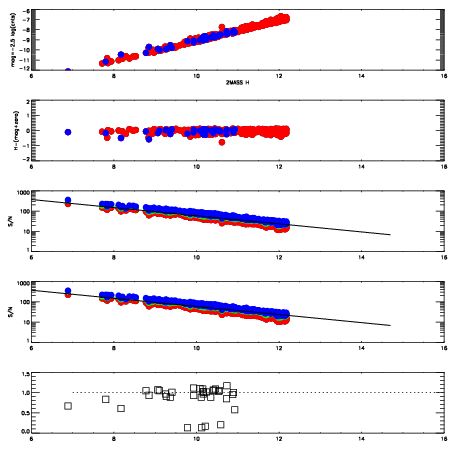
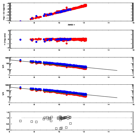
Frame | Nreads | Zeropoints | Mag plots
| Spatial mag deviation
| Spatial sky 16325A emission deviations (filled: sky, open: star)
| Spatial sky continuum emission
| Spatial sky telluric CO2 absorption deviations (filled: H < 10)
|
6930084
| 47
| | Red | Green | Blue
| z | | 19.03
| znorm | | 14.85
| sky | 14.9 | 14.2 | 14.1
| S/N | 13.6 | 21.4 | 22.4
| S/N(c) | 16.7 | 24.2 | 12.5
| SN(E/C) | 0.96
|
|
|
|
|
|
|
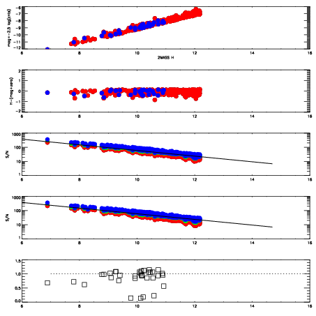
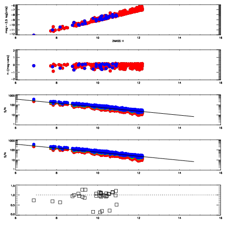
6930085
| 47
| | Red | Green | Blue
| z | | 19.07
| znorm | | 14.89
| sky | 14.6 | 14.3 | 14.3
| S/N | 14.4 | 22.7 | 24.2
| S/N(c) | 17.1 | 24.4 | 13.0
| SN(E/C) | 0.97
|
|
|
|
|
|
|
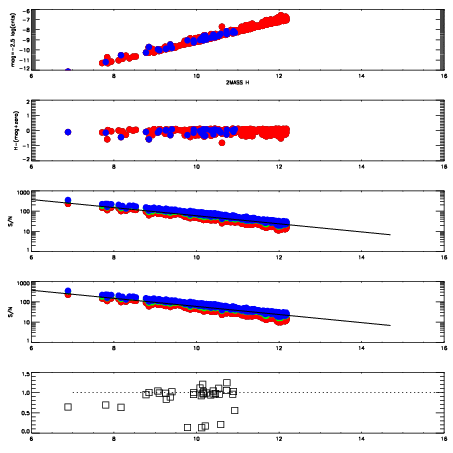
6930086
| 47
| | Red | Green | Blue
| z | | 19.11
| znorm | | 14.93
| sky | 14.6 | 14.3 | 14.3
| S/N | 15.2 | 23.4 | 24.6
| S/N(c) | 18.1 | 25.4 | 13.2
| SN(E/C) | 0.95
|
|
|
|
|
|
|
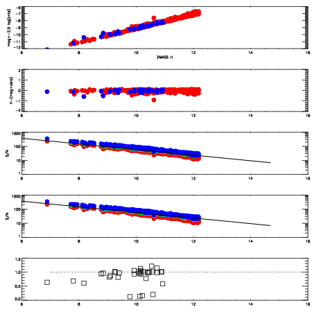
6930087
| 47
| | Red | Green | Blue
| z | | 19.17
| znorm | | 14.99
| sky | 14.6 | 14.4 | 14.3
| S/N | 15.4 | 24.6 | 26.1
| S/N(c) | 18.4 | 26.1 | 13.9
| SN(E/C) | 0.99
|
|
|
|
|
|
|
6930088
| 47
| | Red | Green | Blue
| z | | 19.13
| znorm | | 14.95
| sky | 14.5 | 14.4 | 14.4
| S/N | 14.9 | 23.9 | 25.5
| S/N(c) | 18.7 | 26.1 | 13.7
| SN(E/C) | 0.97
|
|
|
|
|
|
|
6930089
| 47
| | Red | Green | Blue
| z | | 19.13
| znorm | | 14.94
| sky | 14.7 | 14.5 | 14.3
| S/N | 15.1 | 24.4 | 25.5
| S/N(c) | 18.8 | 26.3 | 13.7
| SN(E/C) | 0.97
|
|
|
|
|
|
|
6930090
| 47
| | Red | Green | Blue
| z | | 19.15
| znorm | | 14.97
| sky | 14.7 | 14.5 | 14.3
| S/N | 15.3 | 24.5 | 25.4
| S/N(c) | 19.0 | 26.6 | 14.0
| SN(E/C) | 0.97
|
|
|
|
|
|
|
6930091
| 47
| | Red | Green | Blue
| z | | 19.11
| znorm | | 14.93
| sky | 14.6 | 14.5 | 14.3
| S/N | 15.3 | 24.6 | 25.8
| S/N(c) | 18.6 | 26.4 | 13.8
| SN(E/C) | 0.95
|
|
|
|
|
|
|