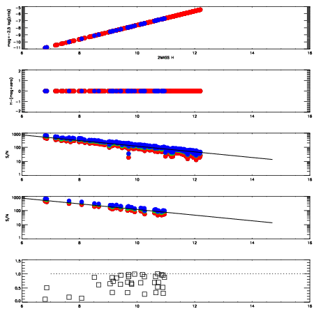
Left plots: red are targets, blue are telluric. Observed mags are calculated from median value of green chip. Zeropoint gives overall throughput: bigger number is more throughput.
First spatial plots: circles are objects, squares are tellurics, crosses are sky fibers. Colors give deviation of observed mag from expected 2MASS mag using the median zeropoint; red is brighter
Second spatial plots: circles are sky fibers. Colors give sky line brightness relative to plate median sky line brightness
FrameNreadsZeropointsMag plots Spatial mag deviation Spatial sky 16325A emission deviations (filled: sky, open: star) Spatial sky continuum emission Spatial sky telluric CO2 absorption deviations (filled: H < 10)
0 0
RedGreenBlue
z17.64
znorm Inf
sky -NaN -Inf -Inf
S/N 23.0 40.3 43.6
S/N(c) 0.0 0.0 0.0
SN(E/C) 0.69

IPAIRNAMESHIFTNEWSHIFTS/N NAMESHIFTNEWSHIFTS/N
0 03690073 0.497329 0.00000 18.8638 03690075 0.000996511 0.496332 18.9253
1 03690068 0.492434 0.00489500 19.0415 03690070 0.00514906 0.492180 19.0156
2 03690069 0.496016 0.00131300 19.0094 03690067 0.00000 0.497329 19.0121
3 03690072 0.495870 0.00145900 18.8317 03690071 0.00473347 0.492596 18.9037