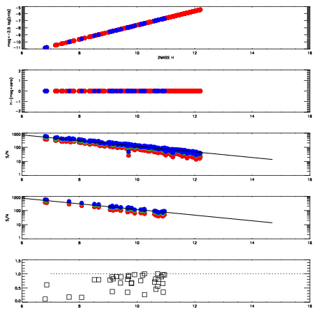
Left plots: red are targets, blue are telluric. Observed mags are calculated from median value of green chip. Zeropoint gives overall throughput: bigger number is more throughput.
First spatial plots: circles are objects, squares are tellurics, crosses are sky fibers. Colors give deviation of observed mag from expected 2MASS mag using the median zeropoint; red is brighter
Second spatial plots: circles are sky fibers. Colors give sky line brightness relative to plate median sky line brightness
FrameNreadsZeropointsMag plots Spatial mag deviation Spatial sky 16325A emission deviations (filled: sky, open: star) Spatial sky continuum emission Spatial sky telluric CO2 absorption deviations (filled: H < 10)
0 0
RedGreenBlue
z17.64
znorm Inf
sky -Inf -Inf -Inf
S/N 20.3 35.2 38.4
S/N(c) 0.0 0.0 0.0
SN(E/C) 0.79

IPAIRNAMESHIFTNEWSHIFTS/N NAMESHIFTNEWSHIFTS/N
0 04050053 0.492628 0.00000 18.9008 04050054 -0.00159547 0.494223 18.6728
1 04050052 0.491801 0.000827014 18.7193 04050050 0.000801860 0.491826 18.6478
2 04050049 0.491529 0.00109902 18.7089 04050051 -0.00225411 0.494882 18.5244
3 04050048 0.490705 0.00192299 18.6552 04050047 0.00000 0.492628 18.5002