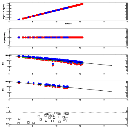
Left plots: red are targets, blue are telluric. Observed mags are calculated from median value of green chip. Zeropoint gives overall throughput: bigger number is more throughput.
First spatial plots: circles are objects, squares are tellurics, crosses are sky fibers. Colors give deviation of observed mag from expected 2MASS mag using the median zeropoint; red is brighter
Second spatial plots: circles are sky fibers. Colors give sky line brightness relative to plate median sky line brightness
FrameNreadsZeropointsMag plots Spatial mag deviation Spatial sky 16325A emission deviations (filled: sky, open: star) Spatial sky continuum emission Spatial sky telluric CO2 absorption deviations (filled: H < 10)
0 0
RedGreenBlue
z17.64
znorm Inf
sky -Inf -Inf -Inf
S/N 27.8 45.9 49.1
S/N(c) 0.0 0.0 0.0
SN(E/C) 0.64

IPAIRNAMESHIFTNEWSHIFTS/N NAMESHIFTNEWSHIFTS/N
0 04060031 0.494417 0.00000 19.1202 04060030 -0.00117512 0.495592 19.1355
1 04060028 0.493498 0.000919014 19.1675 04060029 0.000480933 0.493936 19.1487
2 04060027 0.492931 0.00148600 19.1117 04060033 0.000984168 0.493433 19.1191
3 04060032 0.493893 0.000524014 19.0781 04060026 0.00000 0.494417 19.0840