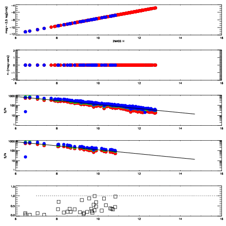
Left plots: red are targets, blue are telluric. Observed mags are calculated from median value of green chip. Zeropoint gives overall throughput: bigger number is more throughput.
First spatial plots: circles are objects, squares are tellurics, crosses are sky fibers. Colors give deviation of observed mag from expected 2MASS mag using the median zeropoint; red is brighter
Second spatial plots: circles are sky fibers. Colors give sky line brightness relative to plate median sky line brightness
FrameNreadsZeropointsMag plots Spatial mag deviation Spatial sky 16325A emission deviations (filled: sky, open: star) Spatial sky continuum emission Spatial sky telluric CO2 absorption deviations (filled: H < 10)
0 0
RedGreenBlue
z17.64
znorm Inf
sky -Inf -Inf -Inf
S/N 29.0 49.5 52.5
S/N(c) 0.0 0.0 0.0
SN(E/C) 0.33

IPAIRNAMESHIFTNEWSHIFTS/N NAMESHIFTNEWSHIFTS/N
0 04280036 0.496142 0.00000 19.1551 04280034 -0.000764278 0.496906 19.1703
1 04280035 0.490481 0.00566101 19.1781 04280037 -5.69694e-05 0.496199 19.1775
2 04280032 0.494770 0.00137201 19.1030 04280033 0.00144251 0.494699 19.1586
3 04280031 0.490054 0.00608799 19.0844 04280030 0.00000 0.496142 19.0560