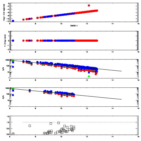
Left plots: red are targets, blue are telluric. Observed mags are calculated from median value of green chip. Zeropoint gives overall throughput: bigger number is more throughput.
First spatial plots: circles are objects, squares are tellurics, crosses are sky fibers. Colors give deviation of observed mag from expected 2MASS mag using the median zeropoint; red is brighter
Second spatial plots: circles are sky fibers. Colors give sky line brightness relative to plate median sky line brightness
FrameNreadsZeropointsMag plots Spatial mag deviation Spatial sky 16325A emission deviations (filled: sky, open: star) Spatial sky continuum emission Spatial sky telluric CO2 absorption deviations (filled: H < 10)
0 0
RedGreenBlue
z17.64
znorm Inf
sky -Inf -NaN -Inf
S/N 26.2 43.4 49.4
S/N(c) 0.0 0.0 0.0
SN(E/C) 0.30

IPAIRNAMESHIFTNEWSHIFTS/N NAMESHIFTNEWSHIFTS/N
0 04290040 0.506518 0.00000 19.0032 04290041 0.00130318 0.505215 19.0205
1 04290039 0.505410 0.00110799 18.9788 04290037 -0.000888576 0.507407 18.9830
2 04290036 0.504598 0.00191998 18.9596 04290038 0.00143610 0.505082 18.9500
3 04290035 0.504189 0.00232899 18.9336 04290034 0.00000 0.506518 18.9256