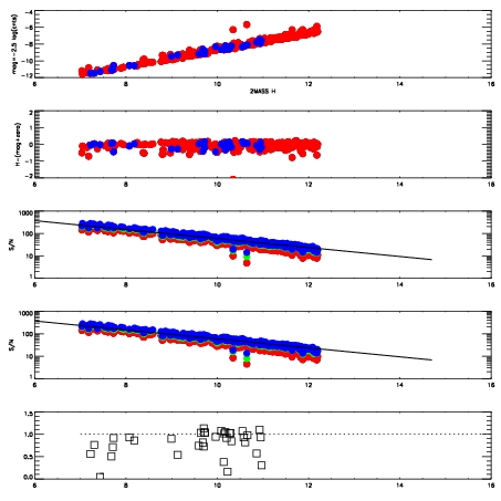
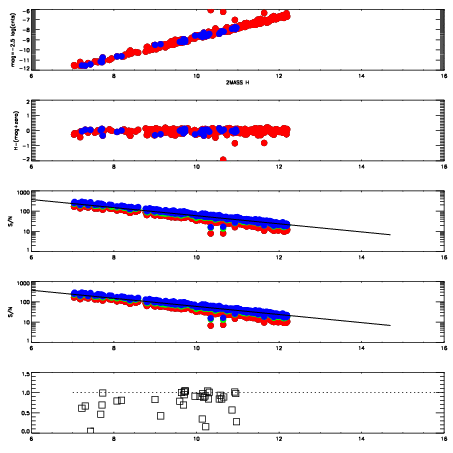
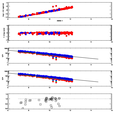
Frame | Nreads | Zeropoints | Mag plots
| Spatial mag deviation
| Spatial sky 16325A emission deviations (filled: sky, open: star)
| Spatial sky continuum emission
| Spatial sky telluric CO2 absorption deviations (filled: H < 10)
|
7850048
| 47
| | Red | Green | Blue
| z | | 18.73
| znorm | | 14.54
| sky | 14.6 | 14.1 | 14.1
| S/N | 11.8 | 19.7 | 20.2
| S/N(c) | 20.5 | 19.0 | 18.0
| SN(E/C) | 0.91
|
|
|
|
|
|
|
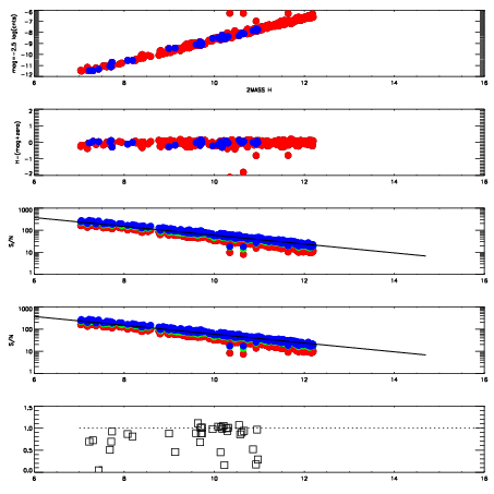
7850049
| 47
| | Red | Green | Blue
| z | | 18.71
| znorm | | 14.53
| sky | 14.6 | 14.2 | 14.3
| S/N | 11.7 | 20.0 | 20.7
| S/N(c) | 20.1 | 18.7 | 18.0
| SN(E/C) | 0.87
|
|
|
|
|
|
|
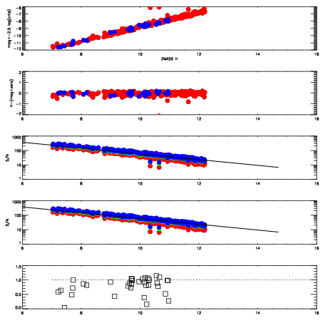
7850050
| 47
| | Red | Green | Blue
| z | | 18.79
| znorm | | 14.61
| sky | 14.7 | 14.4 | 14.2
| S/N | 12.4 | 21.3 | 21.8
| S/N(c) | 21.2 | 19.7 | 19.0
| SN(E/C) | 0.85
|
|
|
|
|
|
|
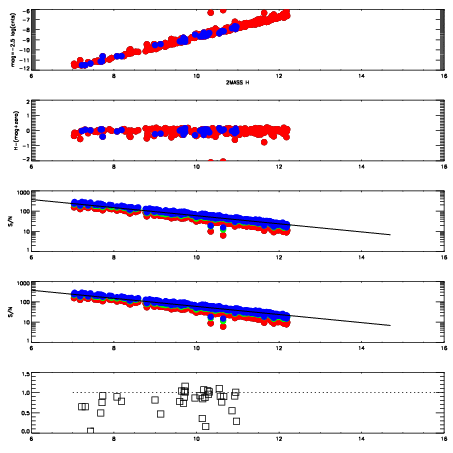
7850051
| 47
| | Red | Green | Blue
| z | | 18.81
| znorm | | 14.63
| sky | 14.6 | 14.4 | 14.3
| S/N | 12.7 | 21.4 | 22.0
| S/N(c) | 21.4 | 20.1 | 19.2
| SN(E/C) | 0.88
|
|
|
|
|
|
|
7850052
| 47
| | Red | Green | Blue
| z | | 18.75
| znorm | | 14.57
| sky | 14.7 | 14.4 | 14.3
| S/N | 12.3 | 20.9 | 21.4
| S/N(c) | 20.6 | 19.3 | 18.6
| SN(E/C) | 0.88
|
|
|
|
|
|
|
7850053
| 47
| | Red | Green | Blue
| z | | 18.83
| znorm | | 14.65
| sky | 14.6 | 14.5 | 14.2
| S/N | 12.9 | 21.6 | 21.9
| S/N(c) | 21.8 | 20.5 | 19.4
| SN(E/C) | 0.86
|
|
|
|
|
|
|
7850054
| 47
| | Red | Green | Blue
| z | | 18.80
| znorm | | 14.62
| sky | 14.7 | 14.5 | 14.4
| S/N | 12.7 | 21.8 | 22.1
| S/N(c) | 21.3 | 20.1 | 19.2
| SN(E/C) | 0.84
|
|
|
|
|
|
|
7850055
| 47
| | Red | Green | Blue
| z | | 18.72
| znorm | | 14.54
| sky | 14.6 | 14.5 | 14.4
| S/N | 11.7 | 20.7 | 21.1
| S/N(c) | 20.0 | 19.2 | 18.4
| SN(E/C) | 0.88
|
|
|
|
|
|
|